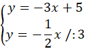
W tym zadaniu podany układ równań rozwiąż metodą graficzną:
| x | 0 | 3 |
| y = x - 1 | 5 | -4 |
| x | -2 | 4 |
| 1 | -2 |
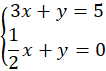
Ułóż podane równania w taki sposób, żeby miały taką formę:
y = ax + b
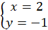
Wykonaj tabelkę, na górze podaj liczbę, którą podstawisz za x, aby wyliczyć y. Dzięki temu wyznaczysz współrzędne punktów, należących do wykresu funkcji liniowej. Zaznacz te punktu i przeprowadź przez nie prostą. Zrób to dla obu prostych. Następnie zapisz w postaci układu równań współrzędne punktu, w którym proste się przecinają.
Ćwiczenie 1.
151Ćwiczenie 2.
152Ćwiczenie 3.
153Ćwiczenie 4.
153Ćwiczenie 5.
154Ćwiczenie 6.
155Zadanie 1.
155Ćwiczenie 1.1.
156Ćwiczenie 2.
157Ćwiczenie 3.1.
158Zadanie 1.
158Zadanie 2.
158Zadanie 3.
158Ćwiczenie 1.
159Ćwiczenie 2.
160Zadanie 1.
160Zadanie branżowe 3.
160Ćwiczenie 1.
162Ćwiczenie 2.
162Zadanie 1.
163Zadanie 2.
163Zadanie branżowe 4.
163Ćwiczenie 1.
164Ćwiczenie 2.
165Ćwiczenie 3.
166Ćwiczenie 4.
167Ćwiczenie 5.
167Zadanie 1.
167Zadanie 2.
167Ćwiczenie 1.
169Zadanie To się liczy!
169Ćwiczenie 2.
171Ćwiczenie 3.
172Ćwiczenie 4.
173Zadanie 1.
173Zadanie 2.
173Zadanie branżowe
175Zadanie 4.
176Zadanie 5.
176Zadanie 6.
176Zadanie 7.
176Zadanie 6.
177