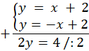
Firma budowlana dostała projekt kwadratowej działki, który był sporządzony w układzie współrzędnych. Na tym projekcie mury, które mają ograniczać działkę, znajdują się na prostych: y1 = x + 2, y2 = -x + 2, y3 = x - 2, y4 = -x – 2. Jakie są współrzędne słupków narożnych tej działki.
y = 2
2 = x + 2
0 = x
Pierwszy narożnik: (0, 2)
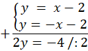
y = 0
0 = x - 2
2 = x
Drugi narożnik: (2, 0)
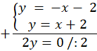
y = -2
-2 = x -2
-2 + 2 = x
x = 0
Trzeci narożnik: (0, -2)
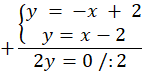
y = 0
0 = x + 2
-2 = x
Czwarty narożnik: (-2, 0)
Stwórz układ równań, w którym zapiszesz pierwszą i drugą prostą, aby wyliczyć punkt ich przecięcia. Powtórz ten schemat dla prostej drugiej i trzeciej, trzeciej i czwartej oraz czwartej i pierwszej.
Ćwiczenie 1.
151Ćwiczenie 2.
152Ćwiczenie 3.
153Ćwiczenie 4.
153Ćwiczenie 5.
154Ćwiczenie 6.
155Zadanie 1.
155Ćwiczenie 1.1.
156Ćwiczenie 2.
157Ćwiczenie 3.1.
158Zadanie 1.
158Zadanie 2.
158Zadanie 3.
158Ćwiczenie 1.
159Ćwiczenie 2.
160Zadanie 1.
160Zadanie branżowe 3.
160Ćwiczenie 1.
162Ćwiczenie 2.
162Zadanie 1.
163Zadanie 2.
163Zadanie branżowe 4.
163Ćwiczenie 1.
164Ćwiczenie 2.
165Ćwiczenie 3.
166Ćwiczenie 4.
167Ćwiczenie 5.
167Zadanie 1.
167Zadanie 2.
167Ćwiczenie 1.
169Zadanie To się liczy!
169Ćwiczenie 2.
171Ćwiczenie 3.
172Ćwiczenie 4.
173Zadanie 1.
173Zadanie 2.
173Zadanie branżowe
175Zadanie 4.
176Zadanie 5.
176Zadanie 6.
176Zadanie 7.
176Zadanie 6.
177