Podziel wielomiany
Sprawdzenie:
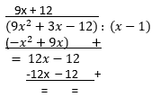
Pierwszy od lewej wyraz wielomianu kwadratowego dzielimy przez pierwszy wyraz podanego dwumianu. Następnie mnożymy go przez dzielnik x - 4 i wynik podpisujemy pod dzielną i odejmujemy go od niej poprzez dodanie wielomianu o przeciwnych współczynnikach. Otrzymujemy pierwszą resztę z dzielenia w ten sposób. Powtarzamy opisaną procedurę, dopóki nie otrzymamy wielomianu stopnia niższego niż dwumian przez które dzielimy.
Ćwiczenie 1.
52Ćwiczenie 2.
53Ćwiczenie 3.
53Ćwiczenie 4.
53Ćwiczenie 5.
53Ćwiczenie 6.
53Zadanie 1.
54Zadanie 2.
54Zadanie 4.
54Zadanie 5.
54Zadanie 6.
54Zadanie 7.
54Zadanie 9.
54Ćwiczenie 1.
55Ćwiczenie 2.
55Ćwiczenie 4.
56Ćwiczenie 5.
56Ćwiczenie 6.
56Ćwiczenie 7.
57Ćwiczenie 8.
56Zadanie 1.
58Zadanie 2.
58Zadanie 3.
58Zadanie 4.
58Zadanie 5.
58Zadanie 6.
58Zadanie 7.
58Zadanie 8.
59Zadanie 9.
59Zadanie 11.
59Zadanie 12.
59Ćwiczenie 1.
60Ćwiczenie 2.
61Ćwiczenie 3.
61Ćwiczenie 4.
61Zadanie 1.
61Zadanie 2.
62Zadanie 3.
62Zadanie 4.
62Zadanie 5.
62Zadanie 6.
62Zadanie 7.
62Zadanie 8.
62Zadanie 9.
62Ćwiczenie 1.
64Ćwiczenie 2.
64Ćwiczenie 3.
64Ćwiczenie 5.
65Ćwiczenie 6.
65Ćwiczenie 8.
65Ćwiczenie 9.
66Ćwiczenie 10.
66Zadanie 1.
66Zadanie 2.
66Zadanie 3.
66Zadanie 4.
65Zadanie 5.
66Zadanie 6.
67Zadanie 7.
67Zadanie 8.
67Zadanie 9.
67Zadanie 10.
67Zadanie 11.
67Zadanie 12.
67Zadanie 13.
67Zadanie warto powtórzyć 1
68Zadanie warto powtórzyć 3
68Ćwiczenie 1.
69Ćwiczenie 2.
70Ćwiczenie 3.
70Zadanie 1.
71Zadanie 2.
71Zadanie 3.
71Zadanie 4.
71Zadanie 5.
71Ćwiczenie 1.
72Ćwiczenie 2.
72Zadanie 1.
73Zadanie 2.
73Zadanie 3.
73Zadanie 4.
73Zadanie 5.
73Zadanie 6.
73Ćwiczenie 1.
74Ćwiczenie 2.
75Ćwiczenie 4.
76Zadanie 1.
76Zadanie 2.
76Zadanie 3.
76Zadanie 4.
76Zadanie 6.
77Zadanie 7.
77Zadanie 8.
77Zadanie 9.
77Ćwiczenie 1.
78Ćwiczenie 2.
79Ćwiczenie 3.
80Zadanie 1.
80Zadanie 2.
80Zadanie 3.
80Zadanie 4.
81Zadanie 5.
81Ćwiczenie 1.
82Ćwiczenie 2.
83Zadanie 1.
83Zadanie 2.
83Zadanie 3.
83Zadanie 4.
83Zadanie 5.
83Ćwiczenie 2.
84Ćwiczenie 3.
85Ćwiczenie 4.
86Zadanie 1.
86Zadanie 2.
87Zadanie 3.
87Zadanie 4.
87Zadanie 5.
87Zadanie 6.
87Zadanie 7.
87Ćwiczenie 1.
88Ćwiczenie 2.
89Ćwiczenie 3.
89Ćwiczenie 4.
90Ćwiczenie 5.
90Zadanie 1.
90Zadanie 2.
90Zadanie 3.
90Zadanie 4.
91Zadanie 5.
91Zadanie 10.
91Ćwiczenie 1.
93Ćwiczenie 2.
93Ćwiczenie 3.
94Ćwiczenie 4.
94Zadanie 1.
95Zadanie 2.
95Zadanie 3.
95Zadanie 4.
95Zadanie 5.
95Zadanie 6.
95Zadanie 7.
95Zadanie 8.
95Ćwiczenie 1.
97Ćwiczenie 3.
98Ćwiczenie 4.
99Ćwiczenie 5.
99Zadanie 1.
99Zadanie 2.
99Zadanie 3.
100Zadanie 4.
100Zadanie 5.
100Zadanie 6.
100Ćwiczenie 1.
101Ćwiczenie 2.
101Ćwiczenie 3.
101Ćwiczenie 4.
101Ćwiczenie 5.
102Ćwiczenie 6.
102Ćwiczenie 7.
103Zadanie 1.
103Zadanie 2.
103Zadanie 3.
103Zadanie 4.
104Zadanie 5.
104Zadanie 6.
104Zadanie 7.
104Zadanie 8.
104Zadanie 9.
104Zadanie 10.
105Ćwiczenie 2.
106Ćwiczenie 3.
106Zadanie 1.
107Zadanie 3.
107Zadanie 4.
107Zadanie 1.
108Zadanie 3.
111Zadanie 5.
111Zadanie 1.
112Zadanie 2.
112Zadanie 3.
112Zadanie 4.
112Zadanie 5.
112Zadanie 6.
112Zadanie 7.
112Zadanie 8.
113Zadanie 9.
113Zadanie 10.
113Zadanie 1.
113Zadanie 2.
113Zadanie 3.
113Zadanie 4.
113Zadanie 5.
114Zadanie 6.
114Zadanie 7.
114Zadanie 8.
114Zadanie 9.
114