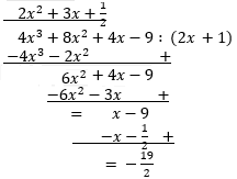
Zadanie

Podziel wielomian przez dwumian . Następnie przedstaw wynik w postaci iloczynu dwumianu i wyniku dzielenia zsumowanego z resztą z dzielenia.

Rozwiązanie

Wyjaśnienie

Zadania z tego działu
2. Wielomiany
51
2.4 Wzory skróconego mnożenia
64

Ćwiczenie 1.

64

Ćwiczenie 2.

64

Ćwiczenie 3.

64

Ćwiczenie 5.

65

Ćwiczenie 6.

65

Ćwiczenie 8.

65

Ćwiczenie 9.

66

Ćwiczenie 10.

66

Zadanie 1.

66

Zadanie 2.

66

Zadanie 3.

66

Zadanie 4.

65

Zadanie 5.

66

Zadanie 6.

67

Zadanie 7.

67

Zadanie 8.

67

Zadanie 9.

67

Zadanie 10.

67

Zadanie 11.

67

Zadanie 12.

67

Zadanie 13.

67

Zadanie warto powtórzyć 1

68

Zadanie warto powtórzyć 3

68
2.14 Nierówności wielomianowe
101

Ćwiczenie 1.

101

Ćwiczenie 2.

101

Ćwiczenie 3.

101

Ćwiczenie 4.

101

Ćwiczenie 5.

102

Ćwiczenie 6.

102

Ćwiczenie 7.

103

Zadanie 1.

103

Zadanie 2.

103

Zadanie 3.

103

Zadanie 4.

104

Zadanie 5.

104

Zadanie 6.

104

Zadanie 7.

104

Zadanie 8.

104

Zadanie 9.

104

Zadanie 10.

105