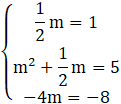
Dobierz wartość m tak, aby (fg)(x) = h(x), jeśli
Zatem m = 2.
Wyznaczamy iloczyn funkcji f i g. Aby wielomiany h i fg były równe, współczynniki przy kolejnych potęgach muszą być równe.
Ćwiczenie 1.
52Ćwiczenie 2.
53Ćwiczenie 3.
53Ćwiczenie 4.
53Ćwiczenie 5.
53Ćwiczenie 6.
53Zadanie 1.
54Zadanie 2.
54Zadanie 4.
54Zadanie 5.
54Zadanie 6.
54Zadanie 7.
54Zadanie 9.
54Ćwiczenie 1.
55Ćwiczenie 2.
55Ćwiczenie 4.
56Ćwiczenie 5.
56Ćwiczenie 6.
56Ćwiczenie 7.
57Ćwiczenie 8.
56Zadanie 1.
58Zadanie 2.
58Zadanie 3.
58Zadanie 4.
58Zadanie 5.
58Zadanie 6.
58Zadanie 7.
58Zadanie 8.
59Zadanie 9.
59Zadanie 11.
59Zadanie 12.
59Ćwiczenie 1.
60Ćwiczenie 2.
61Ćwiczenie 3.
61Ćwiczenie 4.
61Zadanie 1.
61Zadanie 2.
62Zadanie 3.
62Zadanie 4.
62Zadanie 5.
62Zadanie 6.
62Zadanie 7.
62Zadanie 8.
62Zadanie 9.
62Ćwiczenie 1.
64Ćwiczenie 2.
64Ćwiczenie 3.
64Ćwiczenie 5.
65Ćwiczenie 6.
65Ćwiczenie 8.
65Ćwiczenie 9.
66Ćwiczenie 10.
66Zadanie 1.
66Zadanie 2.
66Zadanie 3.
66Zadanie 4.
65Zadanie 5.
66Zadanie 6.
67Zadanie 7.
67Zadanie 8.
67Zadanie 9.
67Zadanie 10.
67Zadanie 11.
67Zadanie 12.
67Zadanie 13.
67Zadanie warto powtórzyć 1
68Zadanie warto powtórzyć 3
68Ćwiczenie 1.
69Ćwiczenie 2.
70Ćwiczenie 3.
70Zadanie 1.
71Zadanie 2.
71Zadanie 3.
71Zadanie 4.
71Zadanie 5.
71Ćwiczenie 1.
72Ćwiczenie 2.
72Zadanie 1.
73Zadanie 2.
73Zadanie 3.
73Zadanie 4.
73Zadanie 5.
73Zadanie 6.
73Ćwiczenie 1.
74Ćwiczenie 2.
75Ćwiczenie 4.
76Zadanie 1.
76Zadanie 2.
76Zadanie 3.
76Zadanie 4.
76Zadanie 6.
77Zadanie 7.
77Zadanie 8.
77Zadanie 9.
77Ćwiczenie 1.
78Ćwiczenie 2.
79Ćwiczenie 3.
80Zadanie 1.
80Zadanie 2.
80Zadanie 3.
80Zadanie 4.
81Zadanie 5.
81Ćwiczenie 1.
82Ćwiczenie 2.
83Zadanie 1.
83Zadanie 2.
83Zadanie 3.
83Zadanie 4.
83Zadanie 5.
83Ćwiczenie 2.
84Ćwiczenie 3.
85Ćwiczenie 4.
86Zadanie 1.
86Zadanie 2.
87Zadanie 3.
87Zadanie 4.
87Zadanie 5.
87Zadanie 6.
87Zadanie 7.
87Ćwiczenie 1.
88Ćwiczenie 2.
89Ćwiczenie 3.
89Ćwiczenie 4.
90Ćwiczenie 5.
90Zadanie 1.
90Zadanie 2.
90Zadanie 3.
90Zadanie 4.
91Zadanie 5.
91Zadanie 10.
91Ćwiczenie 1.
93Ćwiczenie 2.
93Ćwiczenie 3.
94Ćwiczenie 4.
94Zadanie 1.
95Zadanie 2.
95Zadanie 3.
95Zadanie 4.
95Zadanie 5.
95Zadanie 6.
95Zadanie 7.
95Zadanie 8.
95Ćwiczenie 1.
97Ćwiczenie 3.
98Ćwiczenie 4.
99Ćwiczenie 5.
99Zadanie 1.
99Zadanie 2.
99Zadanie 3.
100Zadanie 4.
100Zadanie 5.
100Zadanie 6.
100Ćwiczenie 1.
101Ćwiczenie 2.
101Ćwiczenie 3.
101Ćwiczenie 4.
101Ćwiczenie 5.
102Ćwiczenie 6.
102Ćwiczenie 7.
103Zadanie 1.
103Zadanie 2.
103Zadanie 3.
103Zadanie 4.
104Zadanie 5.
104Zadanie 6.
104Zadanie 7.
104Zadanie 8.
104Zadanie 9.
104Zadanie 10.
105Ćwiczenie 2.
106Ćwiczenie 3.
106Zadanie 1.
107Zadanie 3.
107Zadanie 4.
107Zadanie 1.
108Zadanie 3.
111Zadanie 5.
111Zadanie 1.
112Zadanie 2.
112Zadanie 3.
112Zadanie 4.
112Zadanie 5.
112Zadanie 6.
112Zadanie 7.
112Zadanie 8.
113Zadanie 9.
113Zadanie 10.
113Zadanie 1.
113Zadanie 2.
113Zadanie 3.
113Zadanie 4.
113Zadanie 5.
114Zadanie 6.
114Zadanie 7.
114Zadanie 8.
114Zadanie 9.
114