W tym zadaniu musisz obliczyć pola trójkąta X i I oraz sprawdzić, ile razy pole X jest większe od pola I.
Jeśli w zadaniu nie jest powiedziane, w jakich jednostkach należy je rozwiązać, możesz przyjąć skrót „j”, który oznacza dowolną jednostkę. Analogicznie po obliczeniu pola pamiętaj o dopisaniu drugiej potęgi, czyli „j2”.
50 j2 : 0,5 j2 = 500 : 5 = 100
Odpowiedź: Pole X jest większe od pola I 100 razy.
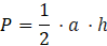
Wykonaj zadanie, korzystając ze wzoru na pole trójkąta:
Figura I ma podstawę długości 1 j i wysokość długości 1 j. Figura X ma podstawę długości 10 j i wysokość długości 10 j. Podstaw podane wartości do wzoru i oblicz pola trójkątów. Następnie wykonaj dzielenie, aby dowiedzieć się, ile razy pole X jest większe od pola I.
Ćwiczenie 1.
5Ćwiczenie 2.
5Ćwiczenie Co było na lekcji? 1.3
6Ćwiczenie 5.
7Ćwiczenie Co było na lekcji? 3.2
10Ćwiczenie 1.
13Ćwiczenie 2.
13Ćwiczenie 3.
13Ćwiczenie 5.
14Ćwiczenie 6.
15Ćwiczenie 8.
16Ćwiczenie 9.
16Ćwiczenie 10.
17Ćwiczenie 11.
18Ćwiczenie 12.
19Ćwiczenie 13.
20Ćwiczenie 14.
20Ćwiczenie 2.
22Ćwiczenie 3.
23Ćwiczenie 5.
24Ćwiczenie 6.
25Ćwiczenie 7.
25Ćwiczenie 8.
26Ćwiczenie Co było na lekcji? 2.1
27Ćwiczenie 11.
27Ćwiczenie 12.
28Ćwiczenie 13.
28Ćwiczenie 15.
29Ćwiczenie 16.
30Ćwiczenie 17.
31Ćwiczenie 5.
34Ćwiczenie 1.
38Ćwiczenie 2.
38Ćwiczenie 6.
41Ćwiczenie 8.
43