W tym zadaniu musisz na podstawie podziału figury na trójkąty obliczyć jej pole powierzchni.
P = PI + PII + PIII = 6 cm2+ 4 cm2 + 4 cm2 = 14 cm2
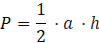
Wykonaj zadanie, korzystając ze wzoru na pole trójkąta:
Figura I ma podstawę długości 3 cm i wysokość długości 4 cm. Figura II ma podstawę długości 2 cm i wysokość długości 4 cm. Figura III ma podstawę długości 4 cm i wysokość długości 2 cm. Podstaw podane wartości do wzoru i oblicz pole wielokąta poprzez zsumowanie pola I, II i III.
Ćwiczenie 1.
5Ćwiczenie 2.
5Ćwiczenie Co było na lekcji? 1.3
6Ćwiczenie 5.
7Ćwiczenie Co było na lekcji? 3.2
10Ćwiczenie 1.
13Ćwiczenie 2.
13Ćwiczenie 3.
13Ćwiczenie 5.
14Ćwiczenie 6.
15Ćwiczenie 8.
16Ćwiczenie 9.
16Ćwiczenie 10.
17Ćwiczenie 11.
18Ćwiczenie 12.
19Ćwiczenie 13.
20Ćwiczenie 14.
20Ćwiczenie 2.
22Ćwiczenie 3.
23Ćwiczenie 5.
24Ćwiczenie 6.
25Ćwiczenie 7.
25Ćwiczenie 8.
26Ćwiczenie Co było na lekcji? 2.1
27Ćwiczenie 11.
27Ćwiczenie 12.
28Ćwiczenie 13.
28Ćwiczenie 15.
29Ćwiczenie 16.
30Ćwiczenie 17.
31Ćwiczenie 5.
34Ćwiczenie 1.
38Ćwiczenie 2.
38Ćwiczenie 6.
41Ćwiczenie 8.
43