W tym zadaniu musisz obliczyć powierzchnię szyby okna I oraz pole powierzchni szyby z ramą okna I.
a = 8 dm, h = 8 dm
P = 32 cm2 – pole powierzchni szyby okna I
a = 10 dm, h = 10 dm
P = 50 dm2 – pole powierzchni szyby z ramą okienną okna I
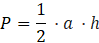
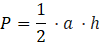
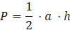
Wykonaj zadanie, korzystając ze wzoru na pole trójkąta:
Szyba okienna ma podstawę długości 8 dm i wysokość długości 8 dm. Szyba z ramą ma podstawę długości 10 dm i wysokość długości 10 dm. Podstaw podane wartości do wzoru i oblicz pola trójkątów.
Pamiętaj o zapisaniu wyniku w jednostkach kwadratowych.
Ćwiczenie 1.
5Ćwiczenie 2.
5Ćwiczenie Co było na lekcji? 1.3
6Ćwiczenie 5.
7Ćwiczenie Co było na lekcji? 3.2
10Ćwiczenie 1.
13Ćwiczenie 2.
13Ćwiczenie 3.
13Ćwiczenie 5.
14Ćwiczenie 6.
15Ćwiczenie 8.
16Ćwiczenie 9.
16Ćwiczenie 10.
17Ćwiczenie 11.
18Ćwiczenie 12.
19Ćwiczenie 13.
20Ćwiczenie 14.
20Ćwiczenie 2.
22Ćwiczenie 3.
23Ćwiczenie 5.
24Ćwiczenie 6.
25Ćwiczenie 7.
25Ćwiczenie 8.
26Ćwiczenie Co było na lekcji? 2.1
27Ćwiczenie 11.
27Ćwiczenie 12.
28Ćwiczenie 13.
28Ćwiczenie 15.
29Ćwiczenie 16.
30Ćwiczenie 17.
31Ćwiczenie 5.
34Ćwiczenie 1.
38Ćwiczenie 2.
38Ćwiczenie 6.
41Ćwiczenie 8.
43