W tym zadaniu oblicz pole czerwonego trójkąta na fladze Konga o wymiarach 2 m x 3 m. Zaznacz właściwą odpowiedź.
3
a = 1 m – niewiadoma a ma długość 1 m.
Wymiary podstawy i wysokości czerwonego trójkąta:
a = 2 m, ha= 2 cm
P = 2 m2
Odpowiedź: D.
Na początku oblicz niewiadomą a, aby dowiedzieć się, jakie są wymiary trójkąta we fladze Konga.
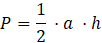
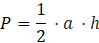
Wykonaj zadanie, korzystając ze wzoru na pole trójkąta:
Czerwony trójkąt na fladze Konga ma podstawę długości 2 m i wysokość długości 2 m. Podstaw podane wartości do wzoru i oblicz pole trójkąta. Pamiętaj o zapisaniu wyniku w jednostkach kwadratowych.
Ćwiczenie 1.
5Ćwiczenie 2.
5Ćwiczenie Co było na lekcji? 1.3
6Ćwiczenie 5.
7Ćwiczenie Co było na lekcji? 3.2
10Ćwiczenie 1.
13Ćwiczenie 2.
13Ćwiczenie 3.
13Ćwiczenie 5.
14Ćwiczenie 6.
15Ćwiczenie 8.
16Ćwiczenie 9.
16Ćwiczenie 10.
17Ćwiczenie 11.
18Ćwiczenie 12.
19Ćwiczenie 13.
20Ćwiczenie 14.
20Ćwiczenie 2.
22Ćwiczenie 3.
23Ćwiczenie 5.
24Ćwiczenie 6.
25Ćwiczenie 7.
25Ćwiczenie 8.
26Ćwiczenie Co było na lekcji? 2.1
27Ćwiczenie 11.
27Ćwiczenie 12.
28Ćwiczenie 13.
28Ćwiczenie 15.
29Ćwiczenie 16.
30Ćwiczenie 17.
31Ćwiczenie 5.
34Ćwiczenie 1.
38Ćwiczenie 2.
38Ćwiczenie 6.
41Ćwiczenie 8.
43