W tym zadaniu musisz obliczyć pole trójkątnej działki o wymiarach podanych na rysunku. Zaznacz właściwą odpowiedź.
a = 24 m, ha= 10 cm
P = 120 m2
Odpowiedź: A.
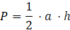
Wykonaj zadanie, korzystając ze wzoru na pole trójkąta:
Trójkątna działka ma podstawę długości 24 m i wysokość długości 10 m. Podstaw podane wartości do wzoru i oblicz pole trójkąta. Pamiętaj o zapisaniu wyniku w jednostkach kwadratowych.
Ćwiczenie 1.
5Ćwiczenie 2.
5Ćwiczenie Co było na lekcji? 1.3
6Ćwiczenie 5.
7Ćwiczenie Co było na lekcji? 3.2
10Ćwiczenie 1.
13Ćwiczenie 2.
13Ćwiczenie 3.
13Ćwiczenie 5.
14Ćwiczenie 6.
15Ćwiczenie 8.
16Ćwiczenie 9.
16Ćwiczenie 10.
17Ćwiczenie 11.
18Ćwiczenie 12.
19Ćwiczenie 13.
20Ćwiczenie 14.
20Ćwiczenie 2.
22Ćwiczenie 3.
23Ćwiczenie 5.
24Ćwiczenie 6.
25Ćwiczenie 7.
25Ćwiczenie 8.
26Ćwiczenie Co było na lekcji? 2.1
27Ćwiczenie 11.
27Ćwiczenie 12.
28Ćwiczenie 13.
28Ćwiczenie 15.
29Ćwiczenie 16.
30Ćwiczenie 17.
31Ćwiczenie 5.
34Ćwiczenie 1.
38Ćwiczenie 2.
38Ćwiczenie 6.
41Ćwiczenie 8.
43