W tym zadaniu musisz obliczyć pola trójkątów na podstawie podanych długości podstawy i wysokości.
a = 3 m, ha= 21 dm
3 m =30 dm
P = 630
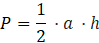
Wykonaj zadanie, korzystając ze wzoru na pole trójkąta:
Z treści zadania wynika, że długość podstawy wynosi 3 m, a wysokość opuszczona na ten bok ma długość 21 dm. Pamiętaj o zamianie metrów na decymetry. Po wykonaniu mnożenia dostajemy pole tego trójkąta. Wynik zapisz w jednostkach kwadratowych.
Ćwiczenie 1.
5Ćwiczenie 2.
5Ćwiczenie Co było na lekcji? 1.3
6Ćwiczenie 5.
7Ćwiczenie Co było na lekcji? 3.2
10Ćwiczenie 1.
13Ćwiczenie 2.
13Ćwiczenie 3.
13Ćwiczenie 5.
14Ćwiczenie 6.
15Ćwiczenie 8.
16Ćwiczenie 9.
16Ćwiczenie 10.
17Ćwiczenie 11.
18Ćwiczenie 12.
19Ćwiczenie 13.
20Ćwiczenie 14.
20Ćwiczenie 2.
22Ćwiczenie 3.
23Ćwiczenie 5.
24Ćwiczenie 6.
25Ćwiczenie 7.
25Ćwiczenie 8.
26Ćwiczenie Co było na lekcji? 2.1
27Ćwiczenie 11.
27Ćwiczenie 12.
28Ćwiczenie 13.
28Ćwiczenie 15.
29Ćwiczenie 16.
30Ćwiczenie 17.
31Ćwiczenie 5.
34Ćwiczenie 1.
38Ćwiczenie 2.
38Ćwiczenie 6.
41Ćwiczenie 8.
43