W tym zadaniu musisz obliczyć najpierw boki trapezów tworzących działki, aby móc obliczyć pierwsze, ile metrów bieżących siatki potrzeba, a potem wyznaczyć pola działek.
Więc:
Zauważ, że skoro jest to trapez równoramienny to posiada on dwa boki równej długości, a także można wyznaczyć w nim zależność dla odcinków |HB|, |AG|, |FJ|, |IE|, która pozwala na skorzystanie z Twierdzenia Talesa dla trójkąta HBC. W ten sposób powinieneś obliczyć boki trapezu, co umożliwi Ci późniejsze obliczenie wysokości trapezów w celu wyznaczenia ich pól powierzchni.
Zależności występujące:
Co jest słuszne również dla drugiego ramienia trapezu:
Zwróć uwagę na to, że jest to trapez równoramienny, więc:
Ponieważ obwody są sobie równe:
Więc:
Korzystając z zależności trapezu równoramiennego:
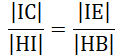
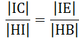
Korzystając z Twierdzenia Talesa dla trójkąta HBC oraz trójkąta IEC:
Więc:
Aby obliczyć potrzebną ilość siatki musisz pamiętać o odjęciu długości furtek:
Korzystając z twierdzenia Pitagorasa dla trójkąta HBC:
Korzystając ze wzoru skróconego mnożenia można obliczyć:
Pamiętaj, że długości boków muszą być większe od zera:
Aby obliczyć pole należy ponownie posłużyć się twierdzeniem Talesa w trójkątach HBC oraz IEC, aby obliczyć wysokości obu trapezów:
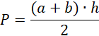
Aby obliczyć pola trapezów skorzystaj ze wzoru:
Ćwiczenie 1
156Ćwiczenie 2
156Ćwiczenie 3
157Ćwiczenie 4
157Ćwiczenie 5
157Zadanie 1
158Zadanie 2
158Zadanie 3
158Zadanie 6
158Zadanie 7
158Zadanie 8
159Zadanie 10
159Zadanie 11
159Zadanie 12
159Zadanie 13
159Zadanie 1
160Ćwiczenie 3
162Zadanie 1
162Zadanie 2
163Zadanie 4
163Zadanie 7
163Zadanie 8
163Ćwiczenie 1
164Ćwiczenie 2
164Ćwiczenie 3
165Ćwiczenie 4
165Ćwiczenie 5
165Zadanie 5
166Zadanie 6
166Zadanie 8
166Zadanie 15
167Zadanie 17
167Ćwiczenie 1
168Ćwiczenie 2
168Ćwiczenie 3
169Zadanie 1
169Zadanie 2
169Zadanie 3
169Zadanie 4
170Zadanie 5
170Zadanie 10
170Zadanie 11
170Ćwiczenie 3
172Ćwiczenie 4
172Ćwiczenie 5
172Ćwiczenie 6
173Zadanie 1
173Zadanie 2
173Zadanie 3
173Zadanie 4
173Zadanie 5
174Zadanie 6
174Zadanie 7
174Zadanie 8
174Zadanie 9
174Zadanie 10
174Ćwiczenie 1
176Ćwiczenie 2
176Ćwiczenie 3
177Ćwiczenie 4
177Ćwiczenie 5
176Ćwiczenie 6
176Ćwiczenie 7
178Ćwiczenie 8
178Ćwiczenie 9
179Zadanie 1
179Zadanie 2
179Zadanie 3
179Zadanie 4
179Zadanie 5
179Zadanie 6
179Ćwiczenie 2
180Zadanie 1
181Zadanie 2
181Zadanie 3
181Zadanie 4
181Zadanie 5
181Zadanie 6
181Zadanie 7
181Zadanie 8
182Zadanie 9
182Zadanie 10
182Zadanie 1
183Zadanie 2
183Ćwiczenie 1
184Ćwiczenie 2
184Ćwiczenie 3
184Ćwiczenie 4
184Ćwiczenie 5
184Ćwiczenie 6
185Ćwiczenie 7
185Ćwiczenie 8
185Zadanie 1
186Zadanie 2
186Zadanie 3
186Zadanie 5
186Zadanie 10
187Zadanie 13
187Ćwiczenie 3
189Ćwiczenie 4
189Ćwiczenie 6
190Ćwiczenie 7
190Zadanie 1
191Zadanie 2
191Zadanie 3
191Zadanie 4
191Zadanie 5
191Zadanie 6
191Zadanie 7
191Zadanie 8
191Zadanie 9
192Zadanie 10
192Zadanie 11
184Zadanie 12
192Zadanie 13
192Zadanie 14
192Zadanie 15
192Zadanie 16
192Zadanie 1
195Zadanie 3
195Zadanie 5
195Zadanie 6
195Zadanie 7
195Zadanie 8
195Zadanie 9
196Zadanie 10
196Zadanie 11
196Zadanie 3
196Zadanie 7
197Zadanie 11
197Zadanie 12
197Zadanie 13
197Zadanie 14
197Zadanie 5
200Zadanie 6
200Zadanie 7
200Zadanie 8
200