W tym zadaniu obliczyć sinus kąta pod jakim przecinają się przekątne trapezu, wiedząc, że trapez ten jest równoramienny oraz ma podstawy równe
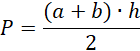
Korzystając ze wzoru na pole trapezu wyznacz wysokość tego trapezu:
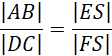
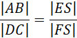
Zauważ, że powstałe poprzez przecinające się przekątne trójkąty są do siebie podobne:
Wobec tego możesz wyznaczyć skalę podobieństwa i obliczyć poszczególne wysokości tych trójkątów. Zauważ, że bok |ES| to różnica wysokości trapezu i wysokości |FS|.
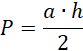
Na podstawie otrzymanych danych oblicz pole trójkąta ABS ze wzoru:
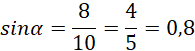
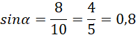
Bok |BS| oblicz z twierdzenia Pitagorasa:
Skorzystaj ze wzoru na pole trójkąta:
i porównaj z otrzymanym wcześniej polem trójkąta ABS. Wyznacz wartość
Ćwiczenie 1
156Ćwiczenie 2
156Ćwiczenie 3
157Ćwiczenie 4
157Ćwiczenie 5
157Zadanie 1
158Zadanie 2
158Zadanie 3
158Zadanie 6
158Zadanie 7
158Zadanie 8
159Zadanie 10
159Zadanie 11
159Zadanie 12
159Zadanie 13
159Zadanie 1
160Ćwiczenie 3
162Zadanie 1
162Zadanie 2
163Zadanie 4
163Zadanie 7
163Zadanie 8
163Ćwiczenie 1
164Ćwiczenie 2
164Ćwiczenie 3
165Ćwiczenie 4
165Ćwiczenie 5
165Zadanie 5
166Zadanie 6
166Zadanie 8
166Zadanie 15
167Zadanie 17
167Ćwiczenie 1
168Ćwiczenie 2
168Ćwiczenie 3
169Zadanie 1
169Zadanie 2
169Zadanie 3
169Zadanie 4
170Zadanie 5
170Zadanie 10
170Zadanie 11
170Ćwiczenie 3
172Ćwiczenie 4
172Ćwiczenie 5
172Ćwiczenie 6
173Zadanie 1
173Zadanie 2
173Zadanie 3
173Zadanie 4
173Zadanie 5
174Zadanie 6
174Zadanie 7
174Zadanie 8
174Zadanie 9
174Zadanie 10
174Ćwiczenie 1
176Ćwiczenie 2
176Ćwiczenie 3
177Ćwiczenie 4
177Ćwiczenie 5
176Ćwiczenie 6
176Ćwiczenie 7
178Ćwiczenie 8
178Ćwiczenie 9
179Zadanie 1
179Zadanie 2
179Zadanie 3
179Zadanie 4
179Zadanie 5
179Zadanie 6
179Ćwiczenie 2
180Zadanie 1
181Zadanie 2
181Zadanie 3
181Zadanie 4
181Zadanie 5
181Zadanie 6
181Zadanie 7
181Zadanie 8
182Zadanie 9
182Zadanie 10
182Zadanie 1
183Zadanie 2
183Ćwiczenie 1
184Ćwiczenie 2
184Ćwiczenie 3
184Ćwiczenie 4
184Ćwiczenie 5
184Ćwiczenie 6
185Ćwiczenie 7
185Ćwiczenie 8
185Zadanie 1
186Zadanie 2
186Zadanie 3
186Zadanie 5
186Zadanie 10
187Zadanie 13
187Ćwiczenie 3
189Ćwiczenie 4
189Ćwiczenie 6
190Ćwiczenie 7
190Zadanie 1
191Zadanie 2
191Zadanie 3
191Zadanie 4
191Zadanie 5
191Zadanie 6
191Zadanie 7
191Zadanie 8
191Zadanie 9
192Zadanie 10
192Zadanie 11
184Zadanie 12
192Zadanie 13
192Zadanie 14
192Zadanie 15
192Zadanie 16
192Zadanie 1
195Zadanie 3
195Zadanie 5
195Zadanie 6
195Zadanie 7
195Zadanie 8
195Zadanie 9
196Zadanie 10
196Zadanie 11
196Zadanie 3
196Zadanie 7
197Zadanie 11
197Zadanie 12
197Zadanie 13
197Zadanie 14
197Zadanie 5
200Zadanie 6
200Zadanie 7
200Zadanie 8
200