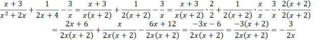
W tym zadaniu musisz wykonać działanie
Lub
Lub
Zapisz dziedzinę wyrażenia. Zauważ, że mianownik nie może być równy zero.
Wyłącz x przed nawias.
Lub
Lub
Sprowadź wszystkie wyrazy do wspólnego mianownika i wykonaj działania.
Zadanie 2
108Zadanie 3
108Zadanie 4
108Ćwiczenie 1
109Ćwiczenie 2
109Ćwiczenie 3
110Ćwiczenie 4
110Zadanie 1
110Zadanie 2
111Zadanie 3
111Zadanie 4
111Zadanie 5
111Zadanie 6
111Zadanie 7
111Ćwiczenie 1
112Zadanie 1
113Zadanie 2
113Zadanie 3
113Zadanie 4
113Zadanie 5
113Zadanie 6
113Ćwiczenie 1
114Ćwiczenie 2
115Zadanie 1
115Zadanie 2
115Zadanie 3
115Zadanie 4
115Zadanie 5
115Zadanie 6
116Zadanie 7
116Zadanie 8
116Zadanie 9
116Zadanie 1
117Zadanie 2
117Zadanie 3
117Ćwiczenie 1
118Ćwiczenie 2
118Ćwiczenie 3
118Ćwiczenie 4
119Ćwiczenie 5
119Ćwiczenie 6
120Ćwiczenie 7
120Ćwiczenie 8
120Zadanie 1
121Zadanie 2
121Zadanie 3
121Zadanie 4
121Zadanie 5
121Zadanie 6
121Zadanie 7
121Zadanie 8
121Zadanie 1
122Zadanie 2
122Zadanie 3
122Zadanie 4
122Zadanie 5
122Zadanie 6
122Zadanie 7
122Zadanie 9
122Ćwiczenie 1
123Ćwiczenie 2
123Ćwiczenie 3
123Ćwiczenie 4
124Ćwiczenie 5
124Zadanie 1
124Zadanie 2
124Zadanie 3
124Zadanie 4
125Zadanie 5
125Zadanie 6
125Zadanie 7
125Zadanie 10
125Zadanie 11
125Zadanie 12
125Ćwiczenie 1
126Ćwiczenie 2
126Ćwiczenie 3
127Ćwiczenie 4
127Ćwiczenie 5
127Zadanie 1
127Zadanie 2
127Zadanie 3
127Zadanie 4
127Zadanie 5
128Zadanie 7
128Zadanie 9
128Zadanie 10
128Zadanie 11
128Ćwiczenie 1
129Ćwiczenie 2
129Ćwiczenie 3
129Ćwiczenie 4
130Zadanie 1
130Zadanie 2
130Zadanie 3
130Zadanie 4
130Zadanie 5
130Zadanie 6
130Ćwiczenie 1
131Ćwiczenie 3
132Ćwiczenie 4
132Ćwiczenie 5
133Zadanie 1
133Zadanie 2
133Zadanie 3
133Zadanie 4
133Zadanie 5
133Zadanie 6
133Zadanie 7
134Zadanie 9
134Zadanie 10
134Zadanie 11
134Zadanie 12
134Zadanie 13
134Ćwiczenie 1
136Ćwiczenie 2
136Ćwiczenie 3
137Ćwiczenie 4
137Ćwiczenie 5
138Zadanie 1
138Zadanie 2
138Zadanie 3
138Zadanie 4
138Zadanie 5
138Zadanie 6
138Ćwiczenie 1
139Ćwiczenie 2
139Ćwiczenie 3
140Ćwiczenie 4
140Ćwiczenie 5
140Ćwiczenie 6
141Zadanie 1
141Zadanie 2
141Zadanie 3
141Zadanie 4
141Zadanie 5
141Zadanie 6
141Zadanie 7
141Ćwiczenie 1
142Ćwiczenie 2
142Ćwiczenie 3
142Zadanie 1
143Zadanie 2
143Zadanie 3
143Zadanie 7
144Zadanie 9
144Zadanie 10
144Zadanie 1
147Zadanie 2
148Zadanie 3
148Zadanie 4
148Zadanie 5
148Zadanie 6
148Zadanie 7
148Zadanie 8
148Zadanie 1
149Zadanie 2
149Zadanie 3
149Zadanie 4
149Zadanie 5
149Zadanie 6
149Zadanie 7
150Zadanie 8
150Zadanie 9
150Zadanie 10
150Zadanie 11
150Zadanie 12
150Zadanie 1
150Zadanie 2
150Zadanie 3
150Zadanie 4
151Zadanie 5
151Zadanie 6
151Zadanie 7
151Zadanie 8
151Zadanie 9
151Zadanie 10
151