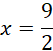
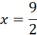
W tym zadaniu musisz wskazać rozwiązania równania
Zatem
Lub
Zapisz dziedzinę wyrażenia. Zauważ, że mianownik nie może być równy zero. Opuść wartość bezwzględną. Ze względu na to, że zero nie jest ani liczbą dodatnią ani ujemną to równanie będzie posiadać jedno rozwiązanie
Zatem
Pomnóż równanie przez mianownik.
Podziel równanie przez 2.
Opuść wartość bezwzględną. Pamiętaj, aby rozpatrzyć dwa przypadki.
Lub
Zadanie 2
108Zadanie 3
108Zadanie 4
108Ćwiczenie 1
109Ćwiczenie 2
109Ćwiczenie 3
110Ćwiczenie 4
110Zadanie 1
110Zadanie 2
111Zadanie 3
111Zadanie 4
111Zadanie 5
111Zadanie 6
111Zadanie 7
111Ćwiczenie 1
112Zadanie 1
113Zadanie 2
113Zadanie 3
113Zadanie 4
113Zadanie 5
113Zadanie 6
113Ćwiczenie 1
114Ćwiczenie 2
115Zadanie 1
115Zadanie 2
115Zadanie 3
115Zadanie 4
115Zadanie 5
115Zadanie 6
116Zadanie 7
116Zadanie 8
116Zadanie 9
116Zadanie 1
117Zadanie 2
117Zadanie 3
117Ćwiczenie 1
118Ćwiczenie 2
118Ćwiczenie 3
118Ćwiczenie 4
119Ćwiczenie 5
119Ćwiczenie 6
120Ćwiczenie 7
120Ćwiczenie 8
120Zadanie 1
121Zadanie 2
121Zadanie 3
121Zadanie 4
121Zadanie 5
121Zadanie 6
121Zadanie 7
121Zadanie 8
121Zadanie 1
122Zadanie 2
122Zadanie 3
122Zadanie 4
122Zadanie 5
122Zadanie 6
122Zadanie 7
122Zadanie 9
122Ćwiczenie 1
123Ćwiczenie 2
123Ćwiczenie 3
123Ćwiczenie 4
124Ćwiczenie 5
124Zadanie 1
124Zadanie 2
124Zadanie 3
124Zadanie 4
125Zadanie 5
125Zadanie 6
125Zadanie 7
125Zadanie 10
125Zadanie 11
125Zadanie 12
125Ćwiczenie 1
126Ćwiczenie 2
126Ćwiczenie 3
127Ćwiczenie 4
127Ćwiczenie 5
127Zadanie 1
127Zadanie 2
127Zadanie 3
127Zadanie 4
127Zadanie 5
128Zadanie 7
128Zadanie 9
128Zadanie 10
128Zadanie 11
128Ćwiczenie 1
129Ćwiczenie 2
129Ćwiczenie 3
129Ćwiczenie 4
130Zadanie 1
130Zadanie 2
130Zadanie 3
130Zadanie 4
130Zadanie 5
130Zadanie 6
130Ćwiczenie 1
131Ćwiczenie 3
132Ćwiczenie 4
132Ćwiczenie 5
133Zadanie 1
133Zadanie 2
133Zadanie 3
133Zadanie 4
133Zadanie 5
133Zadanie 6
133Zadanie 7
134Zadanie 9
134Zadanie 10
134Zadanie 11
134Zadanie 12
134Zadanie 13
134Ćwiczenie 1
136Ćwiczenie 2
136Ćwiczenie 3
137Ćwiczenie 4
137Ćwiczenie 5
138Zadanie 1
138Zadanie 2
138Zadanie 3
138Zadanie 4
138Zadanie 5
138Zadanie 6
138Ćwiczenie 1
139Ćwiczenie 2
139Ćwiczenie 3
140Ćwiczenie 4
140Ćwiczenie 5
140Ćwiczenie 6
141Zadanie 1
141Zadanie 2
141Zadanie 3
141Zadanie 4
141Zadanie 5
141Zadanie 6
141Zadanie 7
141Ćwiczenie 1
142Ćwiczenie 2
142Ćwiczenie 3
142Zadanie 1
143Zadanie 2
143Zadanie 3
143Zadanie 7
144Zadanie 9
144Zadanie 10
144Zadanie 1
147Zadanie 2
148Zadanie 3
148Zadanie 4
148Zadanie 5
148Zadanie 6
148Zadanie 7
148Zadanie 8
148Zadanie 1
149Zadanie 2
149Zadanie 3
149Zadanie 4
149Zadanie 5
149Zadanie 6
149Zadanie 7
150Zadanie 8
150Zadanie 9
150Zadanie 10
150Zadanie 11
150Zadanie 12
150Zadanie 1
150Zadanie 2
150Zadanie 3
150Zadanie 4
151Zadanie 5
151Zadanie 6
151Zadanie 7
151Zadanie 8
151Zadanie 9
151Zadanie 10
151