Zadanie

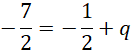
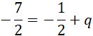
W tym zadaniu musisz wyprowadzić wzór funkcji wiedząc, że do jej wykresu należy punkt . Następnie narysuj wzór tej funkcji i określ jej zbiór wartości.

Rozwiązanie

Wyjaśnienie

Zadania z tego działu
Funkcje wymierne
107
Funkcja homograficzna – warto wiedzieć
117
3.4. Wyrażenia wymierne i funkcje wymierne
118

Ćwiczenie 1

118

Ćwiczenie 2

118

Ćwiczenie 3

118

Ćwiczenie 4

119

Ćwiczenie 5

119

Ćwiczenie 6

120

Ćwiczenie 7

120

Ćwiczenie 8

120

Zadanie 1

121

Zadanie 2

121

Zadanie 3

121

Zadanie 4

121

Zadanie 5

121

Zadanie 6

121

Zadanie 7

121

Zadanie 8

121
3.8. Równania wymierne (2)
131

Ćwiczenie 1

131

Ćwiczenie 3

132

Ćwiczenie 4

132

Ćwiczenie 5

133

Zadanie 1

133

Zadanie 2

133

Zadanie 3

133

Zadanie 4

133

Zadanie 5

133

Zadanie 6

133

Zadanie 7

134

Zadanie 9

134

Zadanie 10

134

Zadanie 11

134

Zadanie 12

134

Zadanie 13

134
Sposób na zadanie
152