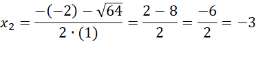
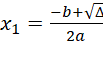
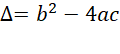
W tym zadaniu musisz wskazać rozwiązania równania
Zapisz dziedzinę równania. Zauważ, że mianownik nie może być równy zero.
Pomnóż równanie przez mianownik.
Przenieś wszystkie wyrazy na jedną stronę równania.
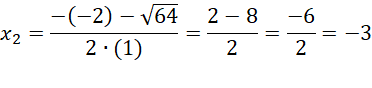
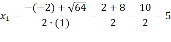
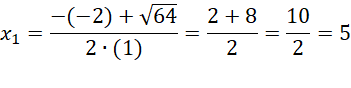
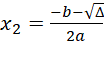
Skorzystaj ze wzoru:
Zadanie 2
108Zadanie 3
108Zadanie 4
108Ćwiczenie 1
109Ćwiczenie 2
109Ćwiczenie 3
110Ćwiczenie 4
110Zadanie 1
110Zadanie 2
111Zadanie 3
111Zadanie 4
111Zadanie 5
111Zadanie 6
111Zadanie 7
111Ćwiczenie 1
112Zadanie 1
113Zadanie 2
113Zadanie 3
113Zadanie 4
113Zadanie 5
113Zadanie 6
113Ćwiczenie 1
114Ćwiczenie 2
115Zadanie 1
115Zadanie 2
115Zadanie 3
115Zadanie 4
115Zadanie 5
115Zadanie 6
116Zadanie 7
116Zadanie 8
116Zadanie 9
116Zadanie 1
117Zadanie 2
117Zadanie 3
117Ćwiczenie 1
118Ćwiczenie 2
118Ćwiczenie 3
118Ćwiczenie 4
119Ćwiczenie 5
119Ćwiczenie 6
120Ćwiczenie 7
120Ćwiczenie 8
120Zadanie 1
121Zadanie 2
121Zadanie 3
121Zadanie 4
121Zadanie 5
121Zadanie 6
121Zadanie 7
121Zadanie 8
121Zadanie 1
122Zadanie 2
122Zadanie 3
122Zadanie 4
122Zadanie 5
122Zadanie 6
122Zadanie 7
122Zadanie 9
122Ćwiczenie 1
123Ćwiczenie 2
123Ćwiczenie 3
123Ćwiczenie 4
124Ćwiczenie 5
124Zadanie 1
124Zadanie 2
124Zadanie 3
124Zadanie 4
125Zadanie 5
125Zadanie 6
125Zadanie 7
125Zadanie 10
125Zadanie 11
125Zadanie 12
125Ćwiczenie 1
126Ćwiczenie 2
126Ćwiczenie 3
127Ćwiczenie 4
127Ćwiczenie 5
127Zadanie 1
127Zadanie 2
127Zadanie 3
127Zadanie 4
127Zadanie 5
128Zadanie 7
128Zadanie 9
128Zadanie 10
128Zadanie 11
128Ćwiczenie 1
129Ćwiczenie 2
129Ćwiczenie 3
129Ćwiczenie 4
130Zadanie 1
130Zadanie 2
130Zadanie 3
130Zadanie 4
130Zadanie 5
130Zadanie 6
130Ćwiczenie 1
131Ćwiczenie 3
132Ćwiczenie 4
132Ćwiczenie 5
133Zadanie 1
133Zadanie 2
133Zadanie 3
133Zadanie 4
133Zadanie 5
133Zadanie 6
133Zadanie 7
134Zadanie 9
134Zadanie 10
134Zadanie 11
134Zadanie 12
134Zadanie 13
134Ćwiczenie 1
136Ćwiczenie 2
136Ćwiczenie 3
137Ćwiczenie 4
137Ćwiczenie 5
138Zadanie 1
138Zadanie 2
138Zadanie 3
138Zadanie 4
138Zadanie 5
138Zadanie 6
138Ćwiczenie 1
139Ćwiczenie 2
139Ćwiczenie 3
140Ćwiczenie 4
140Ćwiczenie 5
140Ćwiczenie 6
141Zadanie 1
141Zadanie 2
141Zadanie 3
141Zadanie 4
141Zadanie 5
141Zadanie 6
141Zadanie 7
141Ćwiczenie 1
142Ćwiczenie 2
142Ćwiczenie 3
142Zadanie 1
143Zadanie 2
143Zadanie 3
143Zadanie 7
144Zadanie 9
144Zadanie 10
144Zadanie 1
147Zadanie 2
148Zadanie 3
148Zadanie 4
148Zadanie 5
148Zadanie 6
148Zadanie 7
148Zadanie 8
148Zadanie 1
149Zadanie 2
149Zadanie 3
149Zadanie 4
149Zadanie 5
149Zadanie 6
149Zadanie 7
150Zadanie 8
150Zadanie 9
150Zadanie 10
150Zadanie 11
150Zadanie 12
150Zadanie 1
150Zadanie 2
150Zadanie 3
150Zadanie 4
151Zadanie 5
151Zadanie 6
151Zadanie 7
151Zadanie 8
151Zadanie 9
151Zadanie 10
151