25 – ilość wszystkich możliwych zdarzeń
A – losuje kulę czerwoną
P(A) = 0,4
Gdy wyjmiemy 5 kul czerwonych,, to zostanie ich 5, a ilość wszystkich możliwych zdarzeń będzie równa 20, zatem P(A) = 5 : 20 = 0,24.
Odp.: B. 5 kul czerwonych
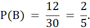
25 – ilość wszystkich możliwych zdarzeń
B – losuje kulę zieloną
Gdy dołożymy 5 kul zielonych, wówczas ilość wszystkich możliwych zdarzeń będzie równa 30, natomiast:
Odp.: C. 5
Prawdopodobieństwo obliczamy ze wzoru:
gdzie A – wyniki sprzyjające, Ω – wszystkie możliwe wyniki.