V = 10 · 5 · 5 = 250 dm3
Wlano 150 l wody + 10% soli = 15 kg soli
Dolano roztwór z 5% stężeniem soli = 5 kg soli
15 kg + 5 kg = 20 kg soli
Odp.: B. 8%
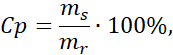
Zastosuj wzór na stężenie procentowe:
gdzie ms – to masa substancji, która została rozpuszczona, mr – to masa roztworu.