| Matka jest o 36 lat starsza od córki. | P | F |
| Za 13 lat córka będzie miała 15 lat, a matka 55 lat. | P | F |
x + y = 48
Proporcje:
x = 7y
7y + y = 48
8y = 48
y = 6
x = 42
1)
Różnica wieku mamy i córki:
42 – 6 = 36 lat
prawda
2)
y + 13 = 6 + 13 = 19
19 ≠ 15
Fałsz
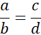
Zastosuj proporcje, by ze sumy wieku mamy i córki móc obliczyć jedną niewiadomą, a następnie obliczyć drugą. Pamiętaj, że w proporcjach możemy zastosować tzw. mnożenie „na krzyż”:
ad = bc