Mamy 15 białych kul i 35 czarnych. Ile czarnych kul trzeba usunąć z tego zbioru, żeby szansa na losowe wybranie kuli białej wynosiła 1 : 3?
A. 5
B. 10
Ile białych kul trzeba dołożyć, żeby szansa wzrosła do 1 : 2?
C. 15
D. 20
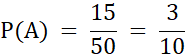
50 – ilość wszystkich możliwych zdarzeń
A – zdarzenie polegające na wylosowaniu kuli białej
Odp.: A. 5
Odp.: D. 20
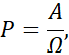
Prawdopodobieństwo obliczamy ze wzoru:
gdzie A – wyniki sprzyjające, Ω – wszystkie możliwe wyniki.
Zadanie 1.
Zadanie 2.
Zadanie 3.
Zadanie 4.
Zadanie 5.
Zadanie 6.
Zadanie 7.
Zadanie 8.
Zadanie 9.
Zadanie 10.
Zadanie 11.
Zadanie 12.
Zadanie 13.
Zadanie 14.
Zadanie 15.
Zadanie 16.
Zadanie 17.
Zadanie 18.
Zadanie 19.
Zadanie 20.
Zadanie 21.
Podpunkt a)
Podpunkt b)
Podpunkt c)
Podpunkt d)