Skul.pl
  • Opracowania zadań z podręczników
  • Matematyka wokół nas. Klasa 8. Podręcznik - rozwiązania i odpowiedzi
  • Zadanie 18.

Matematyka wokół nas. Klasa 8. Podręcznik - rozwiązania i odpowiedzi

Podręcznik, Wydawnictwo: WSiP
Poprzednie

Zadanie 18. - strona 239

Następne

Zadanie

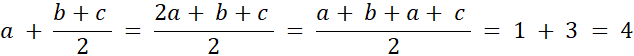
Pokaż ile wynosi wartość wyrażenia:

Rozwiązanie

Skul

Wyjaśnienie

Sumę przedstaw jako sumę składników, których zależności są określone w zadaniu. W miejsce niewiadomych wstaw odpowiednie wartości i oblicz.

Poprzednie
Następne

Matematyka - wybrane pytania

Zadanie 8., strona 294, MATeMAtyka 1. Zakres podstawowy i rozszerzony. Zbiór zadań – rozwiązania i odpowiedzi
Zadanie 15., strona 111, Matematyka. Klasa 7. Zbiór zadań – rozwiązania i odpowiedzi
Zadanie 8., strona 51, MATeMAtyka. Klasa 3. Podręcznik. Zakres podstawowy - rozwiązania i odpowiedzi
Zadanie 15., strona 201, MATeMAtyka 1. Zakres podstawowy i rozszerzony. Zbiór zadań – rozwiązania i odpowiedzi
Ćwiczenie wprowadzające1., strona 49, MATeMAtyka. Klasa 3. Podręcznik. Zakres podstawowy i rozszerzony – rozwiązania i odpowiedzi
Zadanie 13., strona 102, Matematyka wokół nas. Klasa 6. Zbiór zadań - rozwiązania i odpowiedzi
Zadanie 22., strona 73, Nowa teraz matura 4. Poziom rozszerzony. Zbiór zadań - rozwiązania i odpowiedzi
Zadanie 2 zamknięte, strona 30, Matematyka wokół nas. Klasa 6. Zbiór zadań - rozwiązania i odpowiedzi
Zadanie 12., strona 35, Matematyka z plusem. Klasa 5. Zeszyt ćwiczeń. Wersja A. Część 3/3 – rozwiązania i odpowiedzi
Zadanie 4, strona 103, Matematyka. Klasa 5. Zeszyt ćwiczeń – rozwiązania i odpowiedzi
REKLAMA
Skul
Zadania z tego działu
Przed egzaminem
236
Zestaw zadań nr 1
236

Zadanie 1.

236

Zadanie 2.

236

Zadanie 3.

236

Zadanie 4.

236

Zadanie 5.

236

Zadanie 6.

236

Zadanie 7.

236

Zadanie 8.

236

Zadanie 9.

236

Zadanie 10.

236

Zadanie 11.

238

Zadanie 12.

238

Zadanie 13.

238

Zadanie 14.

238

Zadanie 15.

238

Zadanie 16.

239

Zadanie 17.

239

Zadanie 18.

239

Zadanie 19.

239

Zadanie 20.

239

Zadanie 21.

239
Zestaw zadań nr 2
240

Zadanie 1.

240

Zadanie 2.

240

Zadanie 3.

240

Zadanie 4.

240

Zadanie 5.

240

Zadanie 6.

241

Zadanie 7.

241

Zadanie 8.

241

Zadanie 9.

241

Zadanie 10.

241

Zadanie 11.

241

Zadanie 12.

242

Zadanie 13.

242

Zadanie 14.

242

Zadanie 15.

242

Zadanie 16.

242

Zadanie 17.

242

Podpunkt a)

242

Podpunkt b)

242

Podpunkt c)

242

Podpunkt d)

242

Zadanie 18.

243

Podpunkt a)

243

Podpunkt b)

243

Podpunkt c)

243

Podpunkt d)

243

Zadanie 19.

243

Zadanie 20.

243
Zestaw zadań nr 3
244

Zadanie 1.

244

Zadanie 2.

244

Zadanie 3.

244

Zadanie 4.

245

Zadanie 5.

245

Zadanie 6.

245

Zadanie 7.

245

Zadanie 8.

245

Zadanie 9.

245

Zadanie 10.

245

Zadanie 11.

246

Zadanie 12.

246

Zadanie 13.

246

Zadanie 14.

246

Zadanie 15.

246

Zadanie 16.

246

Zadanie 17.

247

Zadanie 18.

247

Zadanie 19.

247

Zadanie 20.

247

Zadanie 21.

247
Pełny spis treści
Skul
Artboard 1
Skul.pl
  • Napisz do nas
  • FAQ
  • Mapa Serwisu
  • Google Play
  • App Store

Korzystanie z portalu oznacza akceptację Regulaminu.
Polityka prywatności. Ustawienia preferencji. Copyright: INTERIA.PL 1999-2023 Wszystkie prawa zastrzeżone.