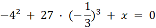
Następnie zdecyduj, ile trzeba dodać do wyniku, żeby otrzymać 0.
A. -15
B. -17
C. 15
D. 17
Rozwiązanie
x = 16 + 1
x = 17
Odp.: D. 17
Wyjaśnienie
Dodaj szukaną niewiadomą do wyrażenia i przyrównaj je do 0. W ten sposób otrzymujesz równanie z jedną niewiadomą, z którego z łatwością możesz wyliczyć x.