Skul.pl
  • Opracowania zadań z podręczników
  • Matematyka wokół nas. Klasa 8. Podręcznik - rozwiązania i odpowiedzi
  • Zadanie 8.

Matematyka wokół nas. Klasa 8. Podręcznik - rozwiązania i odpowiedzi

Podręcznik, Wydawnictwo: WSiP
Poprzednie

Zadanie 8. - strona 236

Następne

Zadanie

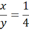
Zdecyduj czy to prawda, czy fałsz, skoro:

PF
PF
PF
PF

Rozwiązanie

PF
PF
PF
PF

1)

Prawda

2)

prawda

3)

x · y = 1 · 4 = 4

4 = 4

Prawda

4)

x – y = 1 – 4 = -3

3 ≠ -3

fałsz

Skul

Wyjaśnienie

Poprzednie
Następne

Matematyka - wybrane pytania

Ćwiczenie 2., strona 211, Matematyka. Klasa 4. Podręcznik. Zakres rozszerzony – rozwiązania i odpowiedzi
Zadanie 2., strona 214, Matematyka. Klasa 3. Zakres rozszerzony. Podręcznik - rozwiązania i odpowiedzi
Zadanie 39., strona 96, Prosto do matury. Matematyka. Klasa 1. Zakres podstawowy. Podręcznik - rozwiązania i odpowiedzi
Zadanie 7, strona 37, Matematyka. Klasa 4. Zbiór zadań - rozwiązania i odpowiedzi
Zadanie 7, strona 262, MATeMAtyka. Klasa 3. Zbiór zadań. Zakres podstawowy i rozszerzony – rozwiązania i odpowiedzi
Zadanie otwarte 1, strona 144, Matematyka wokół nas. Klasa 5. Zbiór zadań – rozwiązania i odpowiedzi
Zadanie 21, strona 19, Matura próbna z matematyki. Poziom podstawowy. Marzec 2026
Ćwiczenie 2., strona 39, Matematyka z plusem. Klasa 5. Zeszyt ćwiczeń. Wersja B. Część 2/2 - rozwiązania i odpowiedzi
Zadanie 9, strona 160, Teraz matura. Klasa 4. Zbiór zadań. Poziom podstawowy – rozwiązania i odpowiedzi
Zadanie 24, strona 10, Matura z matematyki. Arkusz poprawkowy. Poziom podstawowy. Wrzesień 2020
REKLAMA
Skul
Zadania z tego działu
Przed egzaminem
236
Zestaw zadań nr 1
236

Zadanie 1.

236

Zadanie 2.

236

Zadanie 3.

236

Zadanie 4.

236

Zadanie 5.

236

Zadanie 6.

236

Zadanie 7.

236

Zadanie 8.

236

Zadanie 9.

236

Zadanie 10.

236

Zadanie 11.

238

Zadanie 12.

238

Zadanie 13.

238

Zadanie 14.

238

Zadanie 15.

238

Zadanie 16.

239

Zadanie 17.

239

Zadanie 18.

239

Zadanie 19.

239

Zadanie 20.

239

Zadanie 21.

239
Zestaw zadań nr 2
240

Zadanie 1.

240

Zadanie 2.

240

Zadanie 3.

240

Zadanie 4.

240

Zadanie 5.

240

Zadanie 6.

241

Zadanie 7.

241

Zadanie 8.

241

Zadanie 9.

241

Zadanie 10.

241

Zadanie 11.

241

Zadanie 12.

242

Zadanie 13.

242

Zadanie 14.

242

Zadanie 15.

242

Zadanie 16.

242

Zadanie 17.

242

Podpunkt a)

242

Podpunkt b)

242

Podpunkt c)

242

Podpunkt d)

242

Zadanie 18.

243

Podpunkt a)

243

Podpunkt b)

243

Podpunkt c)

243

Podpunkt d)

243

Zadanie 19.

243

Zadanie 20.

243
Zestaw zadań nr 3
244

Zadanie 1.

244

Zadanie 2.

244

Zadanie 3.

244

Zadanie 4.

245

Zadanie 5.

245

Zadanie 6.

245

Zadanie 7.

245

Zadanie 8.

245

Zadanie 9.

245

Zadanie 10.

245

Zadanie 11.

246

Zadanie 12.

246

Zadanie 13.

246

Zadanie 14.

246

Zadanie 15.

246

Zadanie 16.

246

Zadanie 17.

247

Zadanie 18.

247

Zadanie 19.

247

Zadanie 20.

247

Zadanie 21.

247
Pełny spis treści
Skul
Artboard 1
Skul.pl
  • Napisz do nas
  • FAQ
  • Mapa Serwisu
  • Google Play
  • App Store

Korzystanie z portalu oznacza akceptację Regulaminu.
Polityka prywatności. Ustawienia preferencji. Copyright: INTERIA.PL 1999-2023 Wszystkie prawa zastrzeżone.