Skul.pl
  • Opracowania zadań z podręczników
  • Matematyka wokół nas. Klasa 8. Podręcznik - rozwiązania i odpowiedzi
  • Zadanie 17.

Matematyka wokół nas. Klasa 8. Podręcznik - rozwiązania i odpowiedzi

Podręcznik, Wydawnictwo: WSiP
Poprzednie

Zadanie 17. - strona 247

Następne

Zadanie

Oblicz, ile było dysków, jeśli wiadomo, że zakupiono dyski i gry. Dyski stanowiły trzy piąte liczby zakupionych nagród, a gier było o 6 mniej niż dysków.

Rozwiązanie

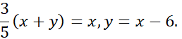
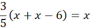
x – dyski

y - gry

y = x – 6

3(2x – 6) = 5x

6x – 18 = 5x

x = 18

y = 12

Odp.: Dysków było 18.

Skul

Wyjaśnienie

Przyjmij za liczbę dysków x, a za liczbę gier y. Korzystając z informacji w tekście, zapisz zależności i rozwiąż układ równań:

Poprzednie
Następne

Matematyka - wybrane pytania

Zadanie 128., strona 58, Matematyka z plusem. Klasa 3. Zbiór zadań. Zakres rozszerzony – rozwiązania i odpowiedzi
Zadanie 12, strona 217, NOWA MATeMAtyka 1. Podręcznik. Zakres podstawowy i rozszerzony
Zadanie 6., strona 117, Matematyka z kluczem. Klasa 6. Zeszyt ćwiczeń – rozwiązania i odpowiedzi
Zadanie 3, strona 12, MATeMAtyka 1. Karty pracy ucznia. Zakres podstawowy
Zadanie 5., strona 170, Matematyka wokół nas. Klasa 7. Podręcznik - rozwiązania i odpowiedzi
Zadanie 3, strona 38, Matematyka z plusem. Klasa 4. Podręcznik - rozwiązania i odpowiedzi
Zadanie 6., strona 89, Matematyka. Klasa 7. Podręcznik – rozwiązania i odpowiedzi
Zadanie 1.128, strona 27, Matematyka. Klasa 1. Zakres podstawowy. Zbiór zadań - rozwiązania i odpowiedzi
Ćwiczenie 17., strona 15, Matematyka z plusem. Klasa 6. Podręcznik - rozwiązania i odpowiedzi
Ćwiczenie 1, strona 189, Matematyka. Klasa 2. Podręcznik. Zakres rozszerzony – rozwiązania i odpowiedzi
REKLAMA
Skul
Zadania z tego działu
Przed egzaminem
236
Zestaw zadań nr 1
236

Zadanie 1.

236

Zadanie 2.

236

Zadanie 3.

236

Zadanie 4.

236

Zadanie 5.

236

Zadanie 6.

236

Zadanie 7.

236

Zadanie 8.

236

Zadanie 9.

236

Zadanie 10.

236

Zadanie 11.

238

Zadanie 12.

238

Zadanie 13.

238

Zadanie 14.

238

Zadanie 15.

238

Zadanie 16.

239

Zadanie 17.

239

Zadanie 18.

239

Zadanie 19.

239

Zadanie 20.

239

Zadanie 21.

239
Zestaw zadań nr 2
240

Zadanie 1.

240

Zadanie 2.

240

Zadanie 3.

240

Zadanie 4.

240

Zadanie 5.

240

Zadanie 6.

241

Zadanie 7.

241

Zadanie 8.

241

Zadanie 9.

241

Zadanie 10.

241

Zadanie 11.

241

Zadanie 12.

242

Zadanie 13.

242

Zadanie 14.

242

Zadanie 15.

242

Zadanie 16.

242

Zadanie 17.

242

Podpunkt a)

242

Podpunkt b)

242

Podpunkt c)

242

Podpunkt d)

242

Zadanie 18.

243

Podpunkt a)

243

Podpunkt b)

243

Podpunkt c)

243

Podpunkt d)

243

Zadanie 19.

243

Zadanie 20.

243
Zestaw zadań nr 3
244

Zadanie 1.

244

Zadanie 2.

244

Zadanie 3.

244

Zadanie 4.

245

Zadanie 5.

245

Zadanie 6.

245

Zadanie 7.

245

Zadanie 8.

245

Zadanie 9.

245

Zadanie 10.

245

Zadanie 11.

246

Zadanie 12.

246

Zadanie 13.

246

Zadanie 14.

246

Zadanie 15.

246

Zadanie 16.

246

Zadanie 17.

247

Zadanie 18.

247

Zadanie 19.

247

Zadanie 20.

247

Zadanie 21.

247
Pełny spis treści
Skul
Artboard 1
Skul.pl
  • Napisz do nas
  • FAQ
  • Mapa Serwisu
  • Google Play
  • App Store

Korzystanie z portalu oznacza akceptację Regulaminu.
Polityka prywatności. Ustawienia preferencji. Copyright: INTERIA.PL 1999-2023 Wszystkie prawa zastrzeżone.