Zadanie

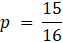
Rzucamy 2 razy symetryczna czworościenną kostką do gry (tzn. taka, która ma na ścianach liczby od 1 do 4). Oblicz prawdopodobieństwo zdarzenia polegającego na: otrzymaniu sumy oczek mniejszej niż 8.

Rozwiązanie

Wyjaśnienie

Zadania z tego działu
5. Wprowadzenie do kombinatoryki i rachunku prawdopodobieństwa
121