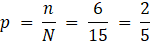
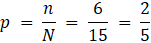
W urnie jest 9 kul białych i 6 czarnych. Losujemy z urny jedną kulę bez zwracania. Oblicz, jakie jest prawdopodobieństwo tego, że wylosowana kula jest czarna.
– liczba wszystkich kul
– liczba kul czarnych
Zadanie 1.
Podpunkt a)
Podpunkt b)
Zadanie 2.
Zadanie 3.
Zadanie 4.
Zadanie 5.
Zadanie 6.
Zadanie 7.
Zadanie 8.
Podpunkt c)
Podpunkt d)
Zadanie 9.
Zadanie 10.
Zadanie 11.
Zadanie 12.
Zadanie 13.
Zadanie 14.
Ćwiczenie sprawdzające 1.
Ćwiczenie sprawdzające 2.
Ćwiczenie sprawdzające 3.
Ćwiczenie sprawdzające 4.
Ćwiczenie sprawdzające 5
Ćwiczenie sprawdzające 5.
Ćwiczenie sprawdzające 6.
Zadanie 15.
Zadanie 16.
Zadanie 17.