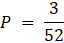
Oblicz prawdopodobieństwo wylosowania figury, która jest treflem spośród talii zawierającej 52 kwarty wiedząc, że losujemy jedną kartę.
Talia kart posiada 4 kolory, po 13 kart w każdym, gdzie 3 z nich są figurami.
Zadanie 1.
Podpunkt a)
Podpunkt b)
Zadanie 2.
Zadanie 3.
Zadanie 4.
Zadanie 5.
Zadanie 6.
Zadanie 7.
Zadanie 8.
Podpunkt c)
Podpunkt d)
Zadanie 9.
Zadanie 10.
Zadanie 11.
Zadanie 12.
Zadanie 13.
Zadanie 14.
Ćwiczenie sprawdzające 1.
Ćwiczenie sprawdzające 2.
Ćwiczenie sprawdzające 3.
Ćwiczenie sprawdzające 4.
Ćwiczenie sprawdzające 5
Ćwiczenie sprawdzające 5.
Ćwiczenie sprawdzające 6.
Zadanie 15.
Zadanie 16.
Zadanie 17.