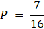
Spośród liczb naturalnych od 1 do 16 losujemy 1 liczbę. Oblicz, jakie jest prawdopodobieństwo wylosowania liczby podzielnej przez 3 lub przez 5.
A.
B.
C.
D.
Liczby podzielne przez 3 lub przez 5: 3, 5, 6, 9, 10, 12, 15
Zadanie 1.
Podpunkt a)
Podpunkt b)
Zadanie 2.
Zadanie 3.
Zadanie 4.
Zadanie 5.
Zadanie 6.
Zadanie 7.
Zadanie 8.
Podpunkt c)
Podpunkt d)
Zadanie 9.
Zadanie 10.
Zadanie 11.
Zadanie 12.
Zadanie 13.
Zadanie 14.
Ćwiczenie sprawdzające 1.
Ćwiczenie sprawdzające 2.
Ćwiczenie sprawdzające 3.
Ćwiczenie sprawdzające 4.
Ćwiczenie sprawdzające 5
Ćwiczenie sprawdzające 5.
Ćwiczenie sprawdzające 6.
Zadanie 15.
Zadanie 16.
Zadanie 17.