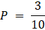
Oblicz prawdopodobieństwo wylosowania kuli z numerem co najmniej równym 7, jeśli losujemy jedną kulę z urny, w której znajduje się 10 kul ponumerowanych liczbami jednocyfrowymi od 0 do 9.
Kule z numerem co najmniej równym 7: 7, 8, 9
Zadanie 1.
Podpunkt a)
Podpunkt b)
Zadanie 2.
Zadanie 3.
Zadanie 4.
Zadanie 5.
Zadanie 6.
Zadanie 7.
Zadanie 8.
Podpunkt c)
Podpunkt d)
Zadanie 9.
Zadanie 10.
Zadanie 11.
Zadanie 12.
Zadanie 13.
Zadanie 14.
Ćwiczenie sprawdzające 1.
Ćwiczenie sprawdzające 2.
Ćwiczenie sprawdzające 3.
Ćwiczenie sprawdzające 4.
Ćwiczenie sprawdzające 5
Ćwiczenie sprawdzające 5.
Ćwiczenie sprawdzające 6.
Zadanie 15.
Zadanie 16.
Zadanie 17.