Oblicz prawdopodobieństwo wylosowania dziewczyny z klasy, w której stosunek liczby chłopców do liczby dziewcząt jest równy 4: 5 a losowanie polega na losowaniu jednej osoby z klasy.
Rozwiązanie
Wyjaśnienie
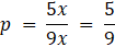
W klasie jest 9x osób, 5x dziewcząt i 4x chłopców. Prawdopodobieństwo wylosowania dziewczyny jest równe: