Dodaj dwa podane wyrażenia i doprowadź wyrażenie do najprostszej postaci.
Wynik obliczysz, sumując wszystkie wyrazy podobne. Będzie on miał postać sumy algebraicznej.
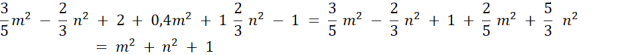
Ćwiczenie 1.4
13Ćwiczenie 1.5
13Ćwiczenie 1.6
13Ćwiczenie 1.7
14Ćwiczenie 1.8
14Ćwiczenie 1.11
14Ćwiczenie 1.15
15Ćwiczenie 1.17
15Ćwiczenie 1.22
15Zadanie 2.1
18Zadanie 2.2
18Zadanie 2.3
18Zadanie 2.4
18Zadanie 2.5
19Zadanie 2.6
19Zadanie 2.7
19Zadanie 2.8
19Zadanie 2.9
19Zadanie 2.10
20Zadanie 3.1
25Zadanie 3.2
26Zadanie 3.3
26Zadanie 3.4
26Zadanie 3.5
26Zadanie 3.6
26Zadanie 3.7
26Zadanie 3.8
26Zadanie 3.10
27Zadanie 3.11
27Zadanie 3.12
27Zadanie 3.13
27Zadanie 3.14
27Zadanie 3.15
28Zadanie 3.18
28Zadanie 3.19
28Zadanie 3.20
28Zadanie 3.21
28Zadanie 3.24
29Zadanie 4.3
35Zadanie 4.4
36Zadanie 4.5
36Zadanie 4.11
36Zadanie 4.12
36Zadanie 4.18
37Zadanie 4.20
37Zadanie 4.
38Zadanie 5.1
46Zadanie 5.2
46Zadanie 5.4
46Zadanie 5.5
46Zadanie 5.7
47Zadanie 5.8
47Zadanie 5.9
47Zadanie 5.10
47Zadanie 5.11
47Zadanie 5.12
47Zadanie 5.14
48Zadanie 5.15
48Zadanie 5.16
48Zadanie 5.17
48Zadanie 5.18
48Zadanie 5.19
48Zadanie 5.20
48Zadanie 5.21
48Zadanie 5.26
49Zadanie 5.27
49Zadanie 5.28
49Zadanie 7
50Zadanie 6.1
55Zadanie 6.2
55Zadanie 6.3
56Zadanie 6.4
56Zadanie 6.5
56Zadanie 6.6
56Zadanie 6.7
56Zadanie 6.8
57Zadanie 6.9
57Zadanie 6.10
57Zadanie 6.11
57Zadanie 6.12
57Zadanie 6.13
57Zadanie 6.14
57Zadanie 7.1
63Zadanie 7.2
63Zadanie 7.4
63Zadanie 7.5
63Zadanie 7.6
63Zadanie 7.7
64Zadanie 7.8
64Zadanie 7.9
64Zadanie 7.10
64Zadanie 7.11
64Zadanie 7.12
64Zadanie 8.3
69Zadanie 8.4
69Zadanie 8.5
69Zadanie 8.6
69Zadanie 8.7
70Zadanie 8.8
70Zadanie 8.9
70Zadanie 8.10
70Zadanie 8.11
70Zadanie 9.1
75Zadanie 9.2
75Zadanie 9.3
75Zadanie 9.4
76Zadanie 9.5
76Zadanie 9.6
76Zadanie 9.7
76Zadanie 9.8
76Zadanie 9.9
77Zadanie 9.10
76Zadanie 9.11
76Zadanie 9.12
77Zadanie 9.13
77Zadanie 10.1
83Zadanie 10.2
83Zadanie 10.3
83Zadanie 10.4
83Zadanie 10.5
83Zadanie 10.6
84Zadanie 10.8
84Zadanie 10.9
83Zadanie 10.10
84Zadanie 5.
85Zadanie 11.1
91Zadanie 11.2
91Zadanie 11.3
91Zadanie 11.4
91Zadanie 11.5
91Zadanie 11.6
91Zadanie 11.7
91Zadanie 11.9
91Zadanie 11.11
92Zadanie 11.13
92Zadanie 4
92Zadanie 6
93Zadanie 49
98Zadanie 50
98Zadanie 51.
98Zadanie 52
98Zadanie 53
98Zadanie 56
98Zadanie 58
99Zadanie 59
99Zadanie 60
99