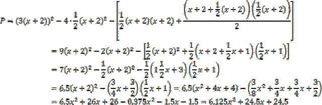
W tym zadaniu musisz opisać pole przedstawionej figury, za pomocą wyrażenia algebraicznego korzystając z informacji podanych na rysunku, a następnie policzyć jego wartość dla x = 6.
Dla x = 6
Pole tej figury oblicz odejmując od pola całego kwadratu o boku 3(x + 2), 4 pola trójkątów prostokątnych równoramiennych o przyprostokątnych równych (x + 2) – to są „ścięte rogi kwadratu”. Musisz odjąć jeszcze figurę ze środka – jej pole policz, sumując dwa trapezy równoramienne i prostokąt.
Dla x = 6
Zadanie 1.
39Zadanie 2.
39Zadanie 3.
39Zadanie 5.
40Zadanie 6.
40Zadanie 7.
40Zadanie 1.
41Zadanie 2.
41Zadanie 3.
41Zadanie 4.
41Zadanie 7.
42Zadanie 9.
42Zadanie 1.
43Zadanie 2.
43Zadanie 3.
43Zadanie 4.
43Zadanie 5.
43Zadanie 6.
43Zadanie 7.
44Zadanie 9.
44Zadanie 10.
44Zadanie 11.
44Zadanie 12.
44Zadanie 13.
44Zadanie 14.
44Zadanie 15.
44Zadanie 18.
45Zadanie 19.
45Zadanie 20.
45Zadanie 21.
45Zadanie 22.
45Zadanie 23.
45Zadanie 25.
45Zadanie 27.
46Zadanie 31.
46Zadanie 32.
46Zadanie 1.
46Zadanie 2.
47Zadanie 3.
47Zadanie 5.
47Zadanie 6.
47Zadanie 7.
47Zadanie 8.
47Zadanie 9.
48Zadanie 10.
48Zadanie 11.
48Zadanie 13.
48Zadanie 14.
48Zadanie 15.
49Zadanie 16.
49Zadanie 1.
49Zadanie 2.
49Zadanie 3.
49Zadanie 4.
50Zadanie 2.
50Zadanie 4.
50Zadanie 13.
51Zadanie 15.
51Zadanie 35.
53Zadanie 56.
56