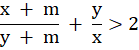
Zadanie polega na udowodnieniu, że dla dowolnych dodatnich liczb rzeczywistych
Co należało udowodnić
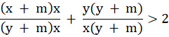
Rozszerz oba ułamki występujące po lewej stronie nierówności o mianownik drugiego ułamka. Następnie pomnóż przez obie strony nierówności przez mianownik. Przenieś wszystkie wyrazy na jedną stronę oraz zredukuj. Wyrażenie
Ćwiczenie A.
10Ćwiczenie C.
11Przykład 2.
11Przykład 3.
12Zadanie 1.
12Zadanie 3.
12Zadanie 4.
12Zadanie 5.
13Zadanie 6.
13Zadanie 7.
13Zadanie 8.
13Zadanie 9.
14Zadanie 10.
14Zadanie 11.
14Zadanie 12.
14Zadanie 13.
14Zadanie 14.
14Przykład 2.
17Zadanie 1.
17Zadanie 2.
17Zadanie 3.
17Zadanie 4.
17Zadanie 5.
18Zadanie 6.
18Zadanie 7.
18Zadanie 8.
18Zadanie 9.
18Zadanie 10.
18Zadanie 11.
18Zadanie 13.
19Zadanie 14.
19Zadanie 1.
21Zadanie 2.
21Zadanie 3.
21Zadanie 4.
21Zadanie 5.
21Zadanie 6.
22Zadanie 7.
22Zadanie 2.
26Zadanie 3.
26Zadanie 4.
27Zadanie 5.
27Zadanie 6.
27Zadanie 7.
27Zadanie 8
27Zadanie 11.
28Zadanie 12.
28Zadanie 13.
28Zadanie 15.
28Zadanie 16.
29Zadanie 17.
29Zadanie 1.
30Zadanie 2.
30Zadanie 3.
30Zadanie 4.
30Zadanie 5.
30Zadanie 6.
30Zadanie 7.
30Zadanie 8.
30