W tym zadaniu musisz określić sumy rozwiązań równania.
Prawidłowa odpowiedź to A.
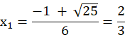
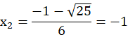
Rozwiąż równanie, mnożąc obie strony równania przez mianowniki ułamków, a następnie rozwiąż równanie kwadratowe. Suma rozwiązań jest odpowiedzią.
Ćwiczenie A.
10Ćwiczenie C.
11Przykład 2.
11Przykład 3.
12Zadanie 1.
12Zadanie 3.
12Zadanie 4.
12Zadanie 5.
13Zadanie 6.
13Zadanie 7.
13Zadanie 8.
13Zadanie 9.
14Zadanie 10.
14Zadanie 11.
14Zadanie 12.
14Zadanie 13.
14Zadanie 14.
14Przykład 2.
17Zadanie 1.
17Zadanie 2.
17Zadanie 3.
17Zadanie 4.
17Zadanie 5.
18Zadanie 6.
18Zadanie 7.
18Zadanie 8.
18Zadanie 9.
18Zadanie 10.
18Zadanie 11.
18Zadanie 13.
19Zadanie 14.
19Zadanie 1.
21Zadanie 2.
21Zadanie 3.
21Zadanie 4.
21Zadanie 5.
21Zadanie 6.
22Zadanie 7.
22Zadanie 2.
26Zadanie 3.
26Zadanie 4.
27Zadanie 5.
27Zadanie 6.
27Zadanie 7.
27Zadanie 8
27Zadanie 11.
28Zadanie 12.
28Zadanie 13.
28Zadanie 15.
28Zadanie 16.
29Zadanie 17.
29Zadanie 1.
30Zadanie 2.
30Zadanie 3.
30Zadanie 4.
30Zadanie 5.
30Zadanie 6.
30Zadanie 7.
30Zadanie 8.
30