Dane:
Vdod = 25 dm3
Szukane:
Z proporcji wyznaczamy liczbę moli w roztworze pierwotnym.
12 moli substancji – 1 dm3 roztworu
x – 100 dm3 roztworu
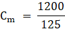
x = 1200 moli
Liczba moli substancji się nie zmieni, dodajemy tylko rozpuszczalnik.
Objętość roztworu po dodaniu rozpuszczalnika wynosi:
Odpowiedź: Stężenie molowe po dodaniu 25 dm3 rozpuszczalnika wynosi 9,6 M.
Stężenie 12 M oznacza, że 12 moli substancji rozpuszczonej znajduje się w 1 dm3 roztworu, stąd łatwo można wyliczyć liczbę moli w początkowym roztworze. Liczba moli substancji rozpuszczonej się nie zmieni, ponieważ dodajemy tylko rozpuszczalnik. Całkowitą objętość roztworu należy powiększyć o dodany rozpuszczalnik. Stężenie molowe jest równe stosunkowi liczby moli do objętości roztworu.