Dane:
Vdod = 20 cm3 = 0,02 dm3
Szukane:
Z proporcji wyznaczamy liczbę moli w roztworze pierwotnym.
5 moli substancji – 1 dm3 roztworu
x – 0,5 dm3 roztworu
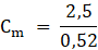
x = 2,5 mola
Liczba moli substancji się nie zmieni, dodajemy tylko rozpuszczalnik.
Objętość roztworu po dodaniu rozpuszczalnika wynosi:
Odpowiedź: Stężenie molowe po dodaniu 0,02 dm3 rozpuszczalnika wynosi 4,81 M.
Stężenie 5 M oznacza, że 5 moli substancji rozpuszczonej znajduje się w 1 dm3 roztworu, stąd łatwo można wyliczyć liczbę moli w początkowym roztworze. Liczba moli substancji rozpuszczonej się nie zmieni, ponieważ dodajemy tylko rozpuszczalnik. Całkowitą objętość roztworu należy powiększyć o dodany rozpuszczalnik. Stężenie molowe jest równe stosunkowi liczby moli do objętości roztworu.