Zadanie

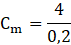
W tym zadaniu musisz obliczyć, ile wynosi stężenie molowe roztworu zawierającego 4 mole substancji w 200 cm3 roztworu.

Rozwiązanie

Wyjaśnienie

Zadania z tego działu
I. Roztwory
8
Rozdzielanie mieszanin niejednorodnych
14
Przygotowywanie roztworów o zadanym stężeniu w teorii i praktyce
30

Ćwiczenie 11.

36

Ćwiczenie 13.

36

Ćwiczenie 17.

38

Ćwiczenie 19.

38

Ćwiczenie 22.

40

Zadanie sprawdzające 1.

44

Zadanie sprawdzające 2.

44

Zadanie sprawdzające 3.

45

Zadanie sprawdzające 5.

45

Zadanie sprawdzające 23.

45

Zadanie sprawdzające 24.

46

Zadanie sprawdzające 27.

46

Zadanie sprawdzające 28.

46