Skul.pl
  • Opracowania zadań z podręczników
  • Chemia. Klasa 3. Podręcznik. Zakres rozszerzony - rozwiązania i odpowiedzi
  • Ćwiczenie 5

Chemia. Klasa 3. Podręcznik. Zakres rozszerzony - rozwiązania i odpowiedzi

Podręcznik, Wydawnictwo: Operon
Poprzednie

Ćwiczenie 5 - strona 140

Następne

Zadanie

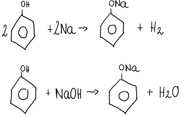
Wymień, jakie substraty można wykorzystać, aby powstał fenolan sodu.

Rozwiązanie

Na, NaOH

Skul

Wyjaśnienie

Fenole reagują z metalami aktywnymi I i II grupy układu okresowego oraz z zasadami, tworząc sole zwane fenolanami.

Jest to możliwe dzięki właściwościom kwasowym fenolu.

Reakcje biegną zgodnie z równaniami:

zoom

Poprzednie
Następne

Chemia - wybrane pytania

Zadanie 7.2.14., strona 119, Chemia. Klasa 7,8. Zbiór zadań- rozwiązania i odpowiedzi
Zadanie Test do działu 4, strona 116, Ciekawa chemia. Klasa 8. Podręcznik – rozwiązania i odpowiedzi
Zadanie 5, strona 24, To jest chemia 2. Maturalne karty pracy z kartami laboratoryjnymi dla liceum ogólnokształcącego i technikum. Klasa 2. Zakres rozszerzony- rozwiązania i odpowiedzi
Ćwiczenie 1., strona 114, Chemia. Klasa 7. Zeszyt ćwiczeń – rozwiązania i odpowiedzi
Ćwiczenie 2., strona 121, Chemia Nowej Ery. Klasa 8. Zeszyt ćwiczeń – rozwiązania i odpowiedzi
Ćwiczenie 8.13., strona 164, Chemia. Klasa 3. Zbiór zadań. Zakres rozszerzony - rozwiązania i odpowiedzi
Pytanie 2, strona 299, Chemia. Klasa 1. Podręcznik. Część 1. Zakres rozszerzony - rozwiązania i odpowiedzi
Ćwiczenie *9.132., strona 206, Chemia. Klasa 3. Zbiór zadań. Zakres rozszerzony - rozwiązania i odpowiedzi
Zadanie 3, strona 152, Chemia. Klasa 8. Podręcznik – rozwiązania i odpowiedzi
Zadanie 21, strona 26, Matura z chemii. Formuła 2023. Poziom rozszerzony. Maj 2025
REKLAMA
Skul
Zadania z tego działu
Alkohole i fenole
105
Alkohole monohydroksylowe- budowa, właściwości fizyczne, otrzymywanie
106

Ćwiczenie 1

109

Ćwiczenie 2

109

Ćwiczenie 3

109

Podpunkt a)

109

Podpunkt b)

109

Ćwiczenie 4

109

Ćwiczenie 5

109
Alkohole monohydroksylowe- właściwości chemiczne
111

Ćwiczenie 1

117

Ćwiczenie 2

117

Ćwiczenie 3

117

Ćwiczenie 4

117

Ćwiczenie 5

117
Izomeria alkoholi. Właściwości fizyczne i chemiczne izomerów
118

Ćwiczenie 1

125

Ćwiczenie 2

125

Podpunkt a)

125

Podpunkt b)

125

Ćwiczenie 3

125

Ćwiczenie 4

125

Ćwiczenie 5

125

Ćwiczenie 6

125

Ćwiczenie 7

125
Alkohole polihydroksylowe
127

Ćwiczenie 1

134

Ćwiczenie 2

134

Ćwiczenie 3

134

Ćwiczenie 4

134

Ćwiczenie 5

134
Fenole
136

Ćwiczenie 1

140

Ćwiczenie 2

140

Ćwiczenie 3

140

Ćwiczenie 4

140

Ćwiczenie 5

140

Ćwiczenie 6

140

Ćwiczenie 7

140
Sprawdź, czy umiesz!
144

Ćwiczenie 1

144

Ćwiczenie 2

144

Ćwiczenie 3

144

Ćwiczenie 4

144

Ćwiczenie 5

144

Ćwiczenie 6

144

Ćwiczenie 7

145

Ćwiczenie 8

145

Ćwiczenie 9

145

Ćwiczenie 10

145

Ćwiczenie 11

145
Pełny spis treści
Skul
Artboard 1
Skul.pl
  • Napisz do nas
  • FAQ
  • Mapa Serwisu
  • Google Play
  • App Store

Korzystanie z portalu oznacza akceptację Regulaminu.
Polityka prywatności. Ustawienia preferencji. Copyright: INTERIA.PL 1999-2023 Wszystkie prawa zastrzeżone.