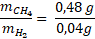
W tym zadaniu musisz policzyć stosunek masowy gazów w zamkniętym naczyniu przy warunkach podanych w zadaniu.
Należy założyć V = 1 dm3
Zadanie 5
18Zadanie 8
19Zadanie 10
21Zadanie 11
21Zadanie 14
22Zadanie 16
23Zadanie 27
26Zadanie 35
28Zadanie 1
33Zadanie 12
37Zadanie 14
38Zadanie 15
38Zadanie 21
40Zadanie 23
41Zadanie 1
47Zadanie 3
48Zadanie 7
50Zadanie 9
51Zadanie 11
52Zadanie 14
53Zadanie 16
54Zadanie 25.2
59Zadanie 27
59Zadanie 28
60Zadanie 7
64Zadanie 4
75Zadanie 10
77Zadanie 21
81Zadanie 22
82