Skul.pl
  • Opracowania zadań z podręczników
  • Chemia. Klasa 1. Podręcznik. Zakres podstawowy. Wersja 2022 - rozwiązania i odpowiedzi
  • Podpunkt a)

Chemia. Klasa 1. Podręcznik. Zakres podstawowy. Wersja 2022 - rozwiązania i odpowiedzi

Podręcznik, Wydawnictwo: WSiP
Poprzednie

Zadanie 28, a) - strona 88

Następne

Zadanie

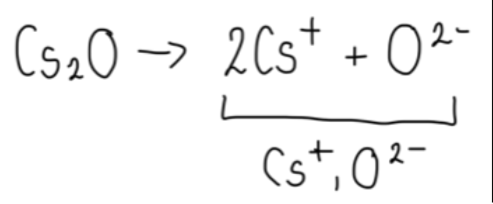
Zapisz wzory jonów (kationów i anionów), z których zbudowane są kryształy jonowe podanych związków chemicznych.

Rozwiązanie

Skul
Poprzednie
Następne

Chemia - wybrane pytania

Pytanie 1, strona 310, Chemia. Klasa 1. Podręcznik. Część 1. Zakres rozszerzony - rozwiązania i odpowiedzi
Ćwiczenie 2., strona 100, Chemia. Klasa 7. Zeszyt ćwiczeń – rozwiązania i odpowiedzi
Zadanie 1, strona 23, To jest chemia 2. Maturalne karty pracy z kartami laboratoryjnymi dla liceum ogólnokształcącego i technikum. Klasa 2. Zakres rozszerzony- rozwiązania i odpowiedzi
Ćwiczenie 4.6., strona 26, Chemia. Zbiór zadań. Klasa 2. Zakres podstawowy i rozszerzony- rozwiązania i odpowiedzi
Zadanie 60, strona 119, To jest chemia 2. Maturalne karty pracy z kartami laboratoryjnymi dla liceum ogólnokształcącego i technikum. Klasa 2. Zakres rozszerzony- rozwiązania i odpowiedzi
Zadanie 20., strona 197, Chemia. Klasa 2. Podręcznik. Zakres podstawowy. Część 2 – rozwiązania i odpowiedzi
Ćwiczenie 6., strona 188, Chemia. Klasa 7. Podręcznik- rozwiązania i odpowiedzi
Ćwiczenie 17.107., strona 322, Chemia. Klasa 3. Zbiór zadań. Zakres rozszerzony - rozwiązania i odpowiedzi
Ćwiczenie 1, strona 52, Chemia. Klasa 2. Podręcznik. Zakres podstawowy. Wersja 2020 – rozwiązania i odpowiedzi
Zadanie 2.1.15., strona 25, Chemia. Klasa 7. Zbiór zadań - rozwiązania i odpowiedzi
REKLAMA
Skul
Zadania z tego działu
Wiązania chemiczne i oddziaływania międzycząsteczkowe
51
8. Wiązania jonowe i metaliczne
54

Zadanie 1.

60

Zadanie 2.

60

Zadanie 3.

60

Zadanie 4.

60

Zadanie 5.

60

Zadanie 6

60

Zadanie 7

60
9. Wiązania kowalencyjne
61

Zadanie 1.

65

Zadanie 2.

65

Zadanie 3.

65

Zadanie 4.

65
10. Elektroujemność
66

Zadanie 1.

69

Zadanie 2.

69

Zadanie 3.

69

Zadanie 4.

69

Zadanie 5

69
11. Wiązania kowalencyjne spolaryzowane i oddziaływania międzycząsteczkowe
70

Zadanie 1.

76

Zadanie 2.

76

Zadanie 3.

76

Zadanie 4.

76
12. Wiązania koordynacyjne
77

Zadanie 1.

79

Zadanie 2.

79

Zadanie 3.

79
Podsumowanie działu
86

Zadanie 1.

86

Zadanie 2.

86

Zadanie 3.

86

Zadanie 4.

86

Zadanie 5.

86

Zadanie 6.

86

Zadanie 7.

86

Zadanie 8

87

Zadanie 9

87

Podpunkt a)

87

Podpunkt b)

87

Podpunkt c)

87

Zadanie 10

87

Podpunkt a)

87

Podpunkt b)

87

Podpunkt c)

87

Zadanie 11

87

Zadanie 12

87

Zadanie 13

87

Zadanie 14

87

Podpunkt a)

87

Podpunkt b)

87

Podpunkt c)

87

Zadanie 15

87

Zadanie 16

88

Podpunkt a)

88

Podpunkt b)

88

Podpunkt c)

88

Podpunkt d)

88

Zadanie 17

88

Zadanie 18

88

Zadanie 19

88

Podpunkt a)

88

Podpunkt b)

88

Zadanie 20

88

Zadanie 21

88

Zadanie 22

88

Podpunkt a)

88

Podpunkt b)

88

Zadanie 23

88

Zadanie 24

88

Zadanie 25

88

Zadanie 26

88

Podpunkt a)

88

Podpunkt b)

88

Zadanie 27

88

Podpunkt a)

88

Podpunkt b)

88

Podpunkt c)

88

Zadanie 28

88

Podpunkt a)

88

Podpunkt b)

88

Podpunkt c)

88

Zadanie 29

88

Podpunkt a)

88

Podpunkt b)

88

Podpunkt c)

88

Zadanie 30

88
Pełny spis treści
Skul
Artboard 1
Skul.pl
  • Napisz do nas
  • FAQ
  • Mapa Serwisu
  • Google Play
  • App Store

Korzystanie z portalu oznacza akceptację Regulaminu.
Polityka prywatności. Ustawienia preferencji. Copyright: INTERIA.PL 1999-2023 Wszystkie prawa zastrzeżone.