Tk = ?
A. Do wody wrzucono aluminiową kulkę.
Tw = 20°C
mw = 100 g = 0,1 kg
TAl = 100°C
VAl = 1 cm3
dAl = 2,7 g/cm3
mAl = ?
B. Do wody wrzucono złotą kulkę.
Tw = 20°C
mw = 100 g
TAu = 100°C
mAu = 100 g = 0,1 kg
C. Do wody wrzucono ołowianą kulkę.
Tw = 20°C
mw = 100 g = 0,1 kg
TPb = 100°C
VPb = 1 cm3
dPb = 11 g/cm3
mPb = ?
D. Do wody wrzucono mosiężną kulkę. Ciepło właściwe mosiądzu sprawdź w internecie.
Tw = 20°C
mw = 100 g = 0,1 kg
Tm = 100°C
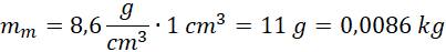
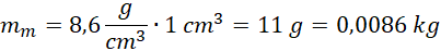
Vm = 1 cm3
dm = 11 g/cm3
mm = ?
Najcieplejsza woda będzie w naczyniu B.
Aby obliczyć, jak zmieniła się temperatura wody po wrzuceniu ogrzanych metalowych kulek, skorzystaj z prawa zachowania energii, według którego ilość ciepła pobranego przez wodę jest równa ilości ciepła oddanego przez metalową kulkę. Obliczenia przeprowadzamy w momencie, kiedy temperatury wody i kulki się wyrównają.
Wyprowadź wzór na Tk.
Otrzymanego wzoru użyj we wszystkich przypadkach.
A. Do wody wrzucono aluminiową kulkę.
Tw = 20°C
mw = 100 g = 0,1 kg
TAl = 100°C
VAl = 1 cm3
dAl = 2,7 g/cm3
mAl = ?
Oblicz masę aluminiowej kulki korzystając ze wzoru. Wynik podaj w kilogramach.
B. Do wody wrzucono złotą kulkę.
Tw = 20°C
mw = 100 g
TAu = 100°C
mAu =100 g = 0,1 kg
C. Do wody wrzucono ołowianą kulkę.
Tw = 20°C
mw = 100 g = 0,1 kg
TPb = 100°C
VPb = 1 cm3
dPb = 11 g/cm3
mPb = ?
Oblicz masę ołowianej kulki korzystając ze wzoru. Wynik podaj w kilogramach.
D. Do wody wrzucono mosiężną kulkę. Ciepło właściwe mosiądzu sprawdź w internecie.
Tw = 20°C
mw = 100 g = 0,1 kg
Tm = 100°C
Vm = 1 cm3
dm = 11 g/cm3
mm = ?
Oblicz masę ołowianej kulki korzystając ze wzoru. Wynik podaj w kilogramach.