W tym zadaniu podaj wynik działania
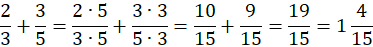
Sprowadź ułamki do wspólnego mianownika, tzn. rozszerz (pomnóż licznik i mianownik przez tę samą liczbę) obydwa ułamki tak, aby mianowniki ułamków były takie same. Następnie dodaj ułamki. Dodając ułamki, dodawaj ich liczniki, a nie mianowniki.
Ćwiczenie 1.
10Ćwiczenie 2.
10Ćwiczenie 3.
11Ćwiczenie 4.
11Zadanie branżowe 2.
11Ćwiczenie 1.
12Ćwiczenie 2.
13Ćwiczenie 3.
13Ćwiczenie 4.
14Zadanie 2.
14Ćwiczenie 1.
15Ćwiczenie 2.
16Ćwiczenie 3.
17Ćwiczenie 4.
17Ćwiczenie 5.
19Zadanie 2.
19Ćwiczenie 1.
20Ćwiczenie 2.
21Zadanie To się liczy!
22Ćwiczenie 3.1.
22Ćwiczenie 3.2.
22Zadanie 1.
23Zadanie 2.
23Zadanie 3.
23Zadanie 4.
23Ćwiczenie 1.
27Ćwiczenie 2.
27Ćwiczenie 3.
28Ćwiczenie 4.
28Zadanie 1.
29Zadanie 2.
29Zadanie 1.
30Zadanie 3.
30Zadanie 5.
30Zadanie 6.
30Zadanie 1.
31Zadanie 2.
31Zadanie 4.
31Zadanie 5.
31Zadanie 6.
31