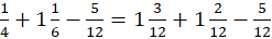
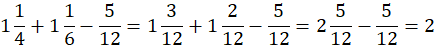
Podaj wynik działania 1
Sprowadź ułamki do najniższego możliwego wspólnego mianownika, w tym wypadku jest to 12.
1
Następnie wykonaj dodawanie i odejmowanie.
Ćwiczenie 1.
10Ćwiczenie 2.
10Ćwiczenie 3.
11Ćwiczenie 4.
11Zadanie branżowe 2.
11Ćwiczenie 1.
12Ćwiczenie 2.
13Ćwiczenie 3.
13Ćwiczenie 4.
14Zadanie 2.
14Ćwiczenie 1.
15Ćwiczenie 2.
16Ćwiczenie 3.
17Ćwiczenie 4.
17Ćwiczenie 5.
19Zadanie 2.
19Ćwiczenie 1.
20Ćwiczenie 2.
21Zadanie To się liczy!
22Ćwiczenie 3.1.
22Ćwiczenie 3.2.
22Zadanie 1.
23Zadanie 2.
23Zadanie 3.
23Zadanie 4.
23Ćwiczenie 1.
27Ćwiczenie 2.
27Ćwiczenie 3.
28Ćwiczenie 4.
28Zadanie 1.
29Zadanie 2.
29Zadanie 1.
30Zadanie 3.
30Zadanie 5.
30Zadanie 6.
30Zadanie 1.
31Zadanie 2.
31Zadanie 4.
31Zadanie 5.
31Zadanie 6.
31