Fryzjerka miała wykonać 3 farby. Do przygotowania tubki pierwszej farby wykorzystała
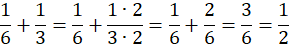
Pierwsza farba:
Część tubki wykorzystanej na drugą farbę:
Część tubki zużytej na dwie farby:
Ilość farby, jaka została w tubce:
Fryzjerce wystarczy farby na trzecią farbę.
Wylicz, ile kremu pozostało w tubce po wykonaniu pierwszej farby. W tym celu odejmij zużytą część od całości.
Następnie pomnóż pozostałą w tubce ilość kremu przez
Kolejnym krokiem jest dodanie ilości kremu zużytego na dwie farby.
Ostatecznie sprawdź, ile kremu pozostało jeszcze w tubce i oceń, czy ta ilość jest równa lub większa niż połowa.
Ćwiczenie 1.
10Ćwiczenie 2.
10Ćwiczenie 3.
11Ćwiczenie 4.
11Zadanie branżowe 2.
11Ćwiczenie 1.
12Ćwiczenie 2.
13Ćwiczenie 3.
13Ćwiczenie 4.
14Zadanie 2.
14Ćwiczenie 1.
15Ćwiczenie 2.
16Ćwiczenie 3.
17Ćwiczenie 4.
17Ćwiczenie 5.
19Zadanie 2.
19Ćwiczenie 1.
20Ćwiczenie 2.
21Zadanie To się liczy!
22Ćwiczenie 3.1.
22Ćwiczenie 3.2.
22Zadanie 1.
23Zadanie 2.
23Zadanie 3.
23Zadanie 4.
23Ćwiczenie 1.
27Ćwiczenie 2.
27Ćwiczenie 3.
28Ćwiczenie 4.
28Zadanie 1.
29Zadanie 2.
29Zadanie 1.
30Zadanie 3.
30Zadanie 5.
30Zadanie 6.
30Zadanie 1.
31Zadanie 2.
31Zadanie 4.
31Zadanie 5.
31Zadanie 6.
31