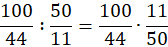
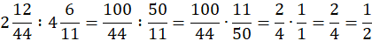
W tym zadaniu wykonaj dzielenie
Zamień ułamki mieszane na ułamki niewłaściwe. Aby podzielić ułamek, wykonaj mnożenie przez odwrotność drugiego z nich. Obróć ułamek i zmień znak dzielenia na znak mnożenia.
Skróć ułamki na skos, następnie wykonaj mnożenie.
Ćwiczenie 1.
10Ćwiczenie 2.
10Ćwiczenie 3.
11Ćwiczenie 4.
11Zadanie branżowe 2.
11Ćwiczenie 1.
12Ćwiczenie 2.
13Ćwiczenie 3.
13Ćwiczenie 4.
14Zadanie 2.
14Ćwiczenie 1.
15Ćwiczenie 2.
16Ćwiczenie 3.
17Ćwiczenie 4.
17Ćwiczenie 5.
19Zadanie 2.
19Ćwiczenie 1.
20Ćwiczenie 2.
21Zadanie To się liczy!
22Ćwiczenie 3.1.
22Ćwiczenie 3.2.
22Zadanie 1.
23Zadanie 2.
23Zadanie 3.
23Zadanie 4.
23Ćwiczenie 1.
27Ćwiczenie 2.
27Ćwiczenie 3.
28Ćwiczenie 4.
28Zadanie 1.
29Zadanie 2.
29Zadanie 1.
30Zadanie 3.
30Zadanie 5.
30Zadanie 6.
30Zadanie 1.
31Zadanie 2.
31Zadanie 4.
31Zadanie 5.
31Zadanie 6.
31