1
| x | 1 | 2 | 3 | 4 |
| y | 24 | 48 | 72 | 96 |
2
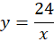
| x | 1 | 2 | 3 | 4 |
| y | 24 | 12 | 8 | 6 |
Przekształć równość
Podstaw po kolei x do otrzymanego równania:
Przekształć równość
Podstaw po kolei x do otrzymanego równania:
Wpisz obliczone wartości w odpowiednie miejsca w tabeli.