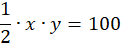
W tym zadaniu musisz napisać wzór, który wyraża zależność długości odcinka y od długości odcinka x, jeżeli pole wielokąta jest równe 100.
Zauważ, że pole trójkąta to bok razy wysokość razy , przekształć ten wzór:
Ćwiczenie 1.
Podpunkt a)
Podpunkt b)
Ćwiczenie 2.
Podpunkt c)
Ćwiczenie 3.
Ćwiczenie 4.
Ćwiczenie 5.
Podpunkt d)
Ćwiczenie 6.
Zadanie 10.1.
Zadanie 10.2.
Zadanie 10.3.
Zadanie 10.4.
Zadanie 10.5.
Zadanie 10.6.
Zadanie 10.7.
Ćwiczenie 7.
Ćwiczenie 8.
Ćwiczenie 9.
Ćwiczenie 10.
Ćwiczenie 11.
Ćwiczenie 12.
Ćwiczenie 13.
Zadanie 10.8.
Zadanie 10.9.
Zadanie 10.10.
Zadanie 10.11.
Zadanie 10.12.
Zadanie 10.13.
Zadanie 10.14.
Zadanie 10.15.
Zadanie 10.16.
Zadanie 10.17.
Zadanie 10.18.
Zadanie 1.
Zadanie 2.
Zadanie 3.
Zadanie 4.
Zadanie 5.
Zadanie 6.
Zadanie 7.
Zadanie 8.
Zadanie 9.
Zadanie 10.