W tym zadaniu musisz wybrać wzór, który określa zależność pomiędzy dwoma wielkościami wprost proporcjonalnymi.
Odpowiedź: C.
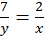
Skoro x i y są wprost proporcjonalne, to ich iloraz jest stały, zauważ, że możesz przekształcić i zapisać: .
Ćwiczenie 1.
Podpunkt a)
Podpunkt b)
Ćwiczenie 2.
Podpunkt c)
Ćwiczenie 3.
Ćwiczenie 4.
Ćwiczenie 5.
Podpunkt d)
Ćwiczenie 6.
Zadanie 10.1.
Zadanie 10.2.
Zadanie 10.3.
Zadanie 10.4.
Zadanie 10.5.
Zadanie 10.6.
Zadanie 10.7.
Ćwiczenie 7.
Ćwiczenie 8.
Ćwiczenie 9.
Ćwiczenie 10.
Ćwiczenie 11.
Ćwiczenie 12.
Ćwiczenie 13.
Zadanie 10.8.
Zadanie 10.9.
Zadanie 10.10.
Zadanie 10.11.
Zadanie 10.12.
Zadanie 10.13.
Zadanie 10.14.
Zadanie 10.15.
Zadanie 10.16.
Zadanie 10.17.
Zadanie 10.18.
Zadanie 1.
Zadanie 2.
Zadanie 3.
Zadanie 4.
Zadanie 5.
Zadanie 6.
Zadanie 7.
Zadanie 8.
Zadanie 9.
Zadanie 10.