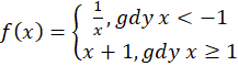
W tym zadaniu musisz narysować wykres funkcji i określić jej dziedzinę i zbiór wartości.
Rozwiązanie
Wyjaśnienie
Zacznij od narysowania wykresu funkcji , zwróć uwagę, że istnieje dla x mniejszych od -1. Następnie narysuj wykres dla argumentów większych lub równych -1. Na podstawie wykresu wyznacz dziedzinę i zbiór wartości. Zauważ, że funkcja istnieje dla x należących do zbioru liczb rzeczywistych, a zbiór wartości to przedział .